NGÏàÐÅÆ·ÅƵÄÁ¦Á¿¹ÙÍø

English NGÏàÐÅÆ·ÅƵÄÁ¦Á¿¹ÙÍø¼¯ÍÅÆóÒµÓÊÏä

µÚ¶þ½Ú ¼ÆÊý×ÊÁϵÄÏÔÖøÐÔÄ¥Á·

×÷ÕߣºÐìÈÙÏé ³öÊéÉ磺Öйú¿ÆÑ§ÊÖÒÕ³öÊéÉç ¿¯ÐÐÈÕÆÚ£º2009Äê7ÔÂ

¹ØÓÚ¼ÆÊý×ÊÁÏÕâЩÏà¶ÔÊýÎÒÃÇÖ»ÖªËüÃÇµÄÆéá«£¬£¬£¬£¬£¬²»ÖªÆäÓÐÎÞͳ¼ÆÑ§ÒâÒ壬£¬£¬£¬£¬Ö»ÓÐͨ¹ýÏà¶ÔÊýµÄÏÔÖøÐÔÄ¥Á··½ÄÜÃ÷È·¡£ ¡£¡£¡£¡£³£ÓÃÒªÁìΪUÄ¥Á·Óëχ2Ä¥Á·¡£ ¡£¡£¡£¡£
Ò»¡¢ÂʵÄuÄ¥Á·
ÂʵÄuÄ¥Á·ÊÇÓ¦ÓùæÄ£½ÏΪ¹ãµÄÒ»ÖÖÏÔÖøÐÔÄ¥Á·ÒªÁ죬£¬£¬£¬£¬¿ÉÊÇÔÚÓÃÓÚÑù±¾ÂÊÓë×ÜÌåÂʽÏÁ¿Ê±£¬£¬£¬£¬£¬»òÁ½¸öÑù±¾ÂʽÏÁ¿Ê±£¬£¬£¬£¬£¬Ó¦µ±Ë¼Á¿Æä²î±ðÊÇ·ñÓÉÓÚ³éÑùÎó²îËùÔì³ÉµÄ¡£ ¡£¡£¡£¡£´óÑù±¾µÄÑù±¾ÂÊÂþÑܽüËÆÕý̬ÂþÑÜ£¬£¬£¬£¬£¬¿ÉÓÃÕý̬ÂþÑܵļÍÂÉÄ¥Á·Ñù±¾ÂÊÓë×ÜÌåÂÊ»òÁ½¸öÑù±¾Âʲî±ðµÄÏÔÖøÐÔ¡£ ¡£¡£¡£¡£ÆäÅжϱê׼Ϊ£º

£¨Ò»£©Ñù±¾ÂÊÓë×ÜÌåÂʵĽÏÁ¿
Ñù±¾ÂÊÓë×ÜÌåÂʽÏÁ¿µÄÄ¿µÄÊÇÍÆ¶Ï¸ÃÑù±¾Ëù´ú±íµÄ×ÜÌåÂÊÓëÒÑÖª×ÜÌåÂÊÊÇ·ñÏàͬ¡£ ¡£¡£¡£¡£¹«Ê½Îª£º

pΪÑù±¾ÂÊ£¬£¬£¬£¬£¬πΪ×ÜÌåÂÊ£¬£¬£¬£¬£¬σPΪÂʵıê×¼Î󣬣¬£¬£¬£¬ÓÉ×ÜÌåÅÌËãµÃ³ö
ʾÀý3ª²4ª²3ƾ֤ÁÙ´²ÂÄÀú£¬£¬£¬£¬£¬Î¸Ê®¶þÖ¸³¦À£Ññ»¼ÕßÖУ¬£¬£¬£¬£¬Ò»Ñùƽ³£ÇéÐÎÏÂÓÐ20%µÄ²¡È˻ᱬ·¢Î¸³öѪ֢״£¬£¬£¬£¬£¬ÏÖijҽԺÊÓ²ìÉÕÉ˲¡ÈË152Àý£¬£¬£¬£¬£¬ÆäÖÐ48ÀýÉËǰÓйýθ³öѪ²¡Ê·£¬£¬£¬£¬£¬ÎÊÉËǰ»¼ÓÐθʮ¶þÖ¸³¦À£ÑñµÄÉÕÉ˲¡ÈËÊÇ·ñÈÝÒ×±¬·¢Î¸³öѪ£¿£¿£¿£¿£¿£¿
¡¾½âÌâ°ì·¨¡¿
¿É½«¸ÃÀýÖÐθʮ¶þÖ¸³¦À£Ññ»¼ÕßÓÐ20%±¬·¢Î¸³öѪÂÊÊÓΪ×ÜÌåÂÊπ£¨ÊǰÑÈËÃǹ«ÈÏ»òÂÄÀúÊýÖµ×÷Ϊ×ÜÌåÂÊ£©¡£ ¡£¡£¡£¡£
1ª±½¨ÉèÄ¥Á·¼ÙÉ裺¼ÙÉ軼ÓÐθʮ¶þÖ¸³¦À£Ññ²¡µÄÉÕÉ˲¡ÈËθ³öѪÂÊ£¨p£©ÓëÒ»Ñùƽ³£Î¸Ê®¶þÖ¸³¦À£Ññ»¼ÕߵijöѪÂÊ£¨π£©ÎÞ²î±ð£¬£¬£¬£¬£¬¼´Ñù±¾ÂÊ£¨P£©ÊÇÓÉ×ÜÌåÂÊ£¨π£©ÖÐËæ»ú³éÈ¡µÄ£¬£¬£¬£¬£¬Á½ÕßÎÞ²î±ð¡£ ¡£¡£¡£¡£ÊÂʵÉÏ£¬£¬£¬£¬£¬ÊµÑéÑо¿Ð§¹û×ÜÊÇÓÐÁ½ÖÖÇéÐΣºÒ»ÖÖÊǽÓÊÜËù½¨ÉèµÄÄ¥Á·¼ÙÉ裬£¬£¬£¬£¬Ò»ÖÖÊǾܾø½¨ÉèµÄÄ¥Á·¼ÙÉè¡£ ¡£¡£¡£¡£
¢ÙÉèǰÕßΪH0£ºπ=π0£»£»£»£»£»¢ÚÉèºóÕßΪH1£ºπ≠π0¡£ ¡£¡£¡£¡£
2ª±È·Á¢ÏÔÖøÐÔË®×¼£ºα=0ª±05
3ª±ÅÌËãuÖµ£º½«Ê¾Àý3ª²4ª²3ÖÐÊý¾Ý´úÈ빫ʽ£¨3ª²4ª²6£©£º

4ª±È·¶¨PÖµ£ºÓÉÓÚu=3ª±58£¬£¬£¬£¬£¬¶ø3ª±58£¾2ª±58£¬£¬£¬£¬£¬¹ÊP£¼0ª±01¡£ ¡£¡£¡£¡£
5ª±ÍƶϽáÂÛ£ºÔÚα=0ª±05Ë®×¼ÉÏ£¬£¬£¬£¬£¬¾Ü¾øH0£¬£¬£¬£¬£¬½ÓÊÜH1£¬£¬£¬£¬£¬ÒòP£¼0ª±01£¬£¬£¬£¬£¬ÒÔÊÇÓкÜÊÇÏÔÖøÐÔ²î±ð£¬£¬£¬£¬£¬ÉËǰ»¼ÓÐθʮ¶þÖ¸³¦À£ÑñµÄÉÕÉ˲¡ÈË£¬£¬£¬£¬£¬Æäθ³öѪÂÊÓëÒ»Ñùƽ³£Î¸Ê®¶þÖ¸³¦À£Ññ»¼ÕߵijöѪÂÊÓÐʵÖʲî±ð£¬£¬£¬£¬£¬¿ÉÒÔΪ»¼Î¸Ê®¶þÖ¸³¦À£ÑñµÄÉÕÉ˲¡È˽ÏÒ»Ñùƽ³£Î¸À£Ññ»¼ÕßÈÝÒ×±¬·¢Î¸³öѪ¡£ ¡£¡£¡£¡£
£¨¶þ£©Á½¸öÑù±¾ÂʽÏÁ¿µÄUÄ¥Á·
Á½¸öÑù±¾ÂʽÏÁ¿µÄÄ¿µÄÊÇÍÆ¶ÏÁ½¸öÑù±¾¸÷×Ô´ú±íµÄÁ½¸ö×ÜÌåÂÊÊÇ·ñÏàͬ¡£ ¡£¡£¡£¡£³£ÓÃUÄ¥Á·ºÍχ2Ä¥Á·£º
UÄ¥Á·ÅÌË㹫ʽ£º

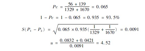
ʾÀý3ª²4ª²4ÈçijҽԺ¶Ô1 329ÀýÉÕÉ˲¡È˾ÙÐÐÓ¦¼¤ÐÔÀ£Ññ³öѪµÄÔ¤·ÀÐÔÖÎÁÆ£¬£¬£¬£¬£¬ÓÐ56Àý±¬·¢ÁËθ³öѪ£¬£¬£¬£¬£¬·¢²¡ÂÊΪ4ª±21%£¬£¬£¬£¬£¬1 670ÀýÉËÇéÏàËÆµÄ²¡ÈËδ¾ÙÐÐÔ¤·ÀÐÔÖÎÁÆ£¬£¬£¬£¬£¬Æä³öѪÂÊ´ï8ª±32%£¬£¬£¬£¬£¬ÎÊÁ½×éÑù±¾Ó¦¼¤ÐÔÀ£Ññ³öѪµÄ·¢²¡ÂÊÓÐÎÞ²î±ð£¿£¿£¿£¿£¿£¿
¡¾½âÌâ°ì·¨¡¿
1ª±½¨ÉèÄ¥Á·¼ÙÉ裺H0£ºπ1=π2£¬£¬£¬£¬£¬H1£ºπ1≠π2¡£ ¡£¡£¡£¡£
2ª±È·¶¨ÏÔÖøÐÔˮƽ£ºα=0ª±05¡£ ¡£¡£¡£¡£
3ª±ÅÌËãuÖµ£ºn1=1329£¬£¬£¬£¬£¬X1=56£¬£¬£¬£¬£¬P1=0ª±0421£¨56/1329£©£¬£¬£¬£¬£¬n2=1670£¬£¬£¬£¬£¬X2=139£¬£¬£¬£¬£¬P2=0ª±0823£¨139/1670£©¡£ ¡£¡£¡£¡£
´úÈ빫ʽ£¨3ª²4ª²9£©¡¢£¨3ª²4ª²10£©¡¢£¨3ª²4ª²7£©£º

4ª±È·¶¨PÖµ£ºÒò4ª±25£¾2ª±58£¬£¬£¬£¬£¬¹ÊP£¼0ª±01¡£ ¡£¡£¡£¡£
5ª±ÍƶϽáÂÛ£ºÔÚα=0ª±05µÄË®×¼ÉÏ£¬£¬£¬£¬£¬¾Ü¾øH0£¬£¬£¬£¬£¬½ÓÊÜH1¡£ ¡£¡£¡£¡£ÒòP£¼0ª±01£¬£¬£¬£¬£¬²î±ðÓи߶ÈÏÔÖøÐÔ£¬£¬£¬£¬£¬¹ÊÒÔΪԤ·ÀÐÔÖÎÁÆ×éÓë±ÈÕÕ×éµÄÓ¦¼¤ÐÔÀ£Ññ³öѪÂÊÓÐʵÖʲî±ð£¬£¬£¬£¬£¬Ô¤·À×éÓ¦¼¤ÐÔÀ£Ññ³öѪ±¬·¢ÂʵÍÓÚ±ÈÕÕ×飬£¬£¬£¬£¬Ô¤·ÀÖÎÁÆÓÐÓᣠ¡£¡£¡£¡£
¶þ¡¢χ2Ä¥Á·
χ2Ä¥Á·ÊÇÓ¢¹úͳ¼ÆÑ§¼ÒKª±pearsonÌá³öµÄ£¬£¬£¬£¬£¬ºó¾­YatesУÕýˢУ¬£¬£¬£¬£¬ÏÖÒѳÉΪרÓÃÓÚÁ½×é°Ù·ÖÂʵij£ÓÃÏÔÖøÐÔÄ¥Á·¹«Ê½¡£ ¡£¡£¡£¡£“χ”ΪϣÀ°×Öĸ£¬£¬£¬£¬£¬¶ÁÒôΪ“Kai”£¬£¬£¬£¬£¬¹Êχ2Ä¥Á··¨ÓֳƓ¿¨ÒªÁ씡£ ¡£¡£¡£¡£Ó¦ÓùæÄ£ÓëUÄ¥Á·²»ÍêÈ«Ïàͬ£¬£¬£¬£¬£¬Ç°ÕßÖ÷ÒªÕë¶ÔÑù±¾ÂÊÓë×ÜÌåÂʾÙÐнÏÁ¿£¬£¬£¬£¬£¬Ò²¿ÉÓÃÓÚÁ½¸öÑù±¾ÂʵĽÏÁ¿£»£»£»£»£»¶øχ2Ä¥Á·Ö÷ÒªÓÃÓÚÍÆ¶ÏÁ½¸ö¼°Á½¸öÒÔÉÏ×ÜÌåÂÊ£¨»ò×é³É±È£©Ö®¼äµÄÄ¥Á·£¬£¬£¬£¬£¬¼ì²éÁ½¸ö·ÖÀà±äÁ¿Ö®¼äÓÐÎÞ¹ØÏµ£¨»ò¹ØÁª£©¡£ ¡£¡£¡£¡£
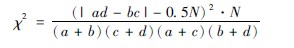
£¨Ò»£©χ2Ä¥Á·»ù±¾¹«Ê½ÓëÅÌËãÒªÁì
χ2Ä¥Á·µÄ»ù±¾¹«Ê½£º

AΪÏÖʵÊÓ²ìÊý£¬£¬£¬£¬£¬TΪÀíÂÛÅÌËãÖµ£¬£¬£¬£¬£¬ ∑£¨Ï£À°×Öĸ£¬£¬£¬£¬£¬¶ÁÒôSigma£©ÌåÏÖ×ܺ͡£ ¡£¡£¡£¡£¾ÙÀýÚ¹ÊÍÆäÒªÁì¼°Ô­Àí¡£ ¡£¡£¡£¡£
ʾÀý3ª²4ª²5ijҽԺ¶ÔÒÑÍùÖÎÁƵÄÉÕÉ˲¢·¢°ÜѪ֢µÄ²¡Àý¾ÙÐлØÊ×ÐÔ×ܽᣬ£¬£¬£¬£¬205Àý´óÃæ»ýÉÕÉ˲¡È˲¢·¢°ÜѪ֢µÄÀýÊýΪ43£¬£¬£¬£¬£¬¶ø134ÀýÖеÈÉÕÉËÃæ»ý²¡È˲¢·¢°ÜѪ֢µÄÀýÊýΪ13£¬£¬£¬£¬£¬ÎʰÜѪ֢µÄ±¬·¢ÓëÉÕÉËÃæ»ýÓÐÎÞ¹ØÏµ£¿£¿£¿£¿£¿£¿
¡¾½âÌâ°ì·¨¡¿
1ª±½«ÊÓ²ì×ÊÁÏÁÐÈë±í£¨±í3ª²4ª²2£©ÖУº

2ª±½¨Éè“Ä¥Á·¼ÙÉ蔣¨ÎÞЧ¼ÙÉ裩£¬£¬£¬£¬£¬¼´ÈôÊÇ´óÃæ»ýÓëÖеÈÃæ»ýÉÕÉË×éµÄ°ÜѪ֢±¬·¢ÂÊÖ®¼äûÓÐʵÖʲî±ð£¬£¬£¬£¬£¬ËµÃ÷°ÜѪ֢µÄ±¬·¢ÂÊ£¨21%ºÍ9ª±7%£©À´×Ôͳһ×ÜÌ壬£¬£¬£¬£¬ÕâÖÖ²î±ðÊÇÓɳéÑùÎó²îÔì³ÉµÄ¡£ ¡£¡£¡£¡£Æ¾Ö¤Õâ¸ö¼ÙÉ裬£¬£¬£¬£¬¿ÉÒÔÓÃÁ½¸ö×éµÄºÏ¼Æ·¢²¡ÂÊ£¨16ª±5%£©Îª¼ÙÉèµÄÀíÂÛ×ÜÌ壬£¬£¬£¬£¬²¢ÒÔ´Ë×÷ΪÅÌËãÖµµÄÀíÂÛ»ù´¡¡£ ¡£¡£¡£¡£
3ª±ÅÌËã¸÷×éµÄÀíÂÛÊýTÖµ£ºÀíÂÛÊýÖµÊÇÆ¾Ö¤Ä¥Á·¼ÙÉèÍÆÂÛµÄÁ½×鲡ÈËÊýÖÐÓ¦Óеı¬·¢°ÜѪ֢ÈËÊý£¬£¬£¬£¬£¬¼´Á½×é¶¼°´16ª±5%»¼²¡ÂÊÅÌË㣬£¬£¬£¬£¬Ó¦µ±Óм¸¶àÈË»¼²¡Óë²»»¼²¡¡£ ¡£¡£¡£¡£´óÃæ»ýÉÕÉË×é205ÈË£¬£¬£¬£¬£¬³ËÒԺϼƻ¼²¡ÂÊ16ª±5%£¬£¬£¬£¬£¬¼´ÊÇ´óÃæ»ýÉÕÉË×éÀíÂÛÉÏÓ¦µ±±¬·¢°ÜѪ֢µÄÈËÊý£¨205×16ª±5%=33ª±83£©£¬£¬£¬£¬£¬¼´ÎªÀíÂÛÖµ£»£»£»£»£»¶øÎ´±¬·¢°ÜѪ֢µÄÈËÊýΪ£¨205-33ª±83=171ª±17£©171ª±17¡£ ¡£¡£¡£¡£Í¬Àí£¬£¬£¬£¬£¬ÔÙÇó³öÖеÈÉÕÉËÃæ»ý×鲡È˵ÄÀíÂÛֵΪ22ª±11£¬£¬£¬£¬£¬²»±¬·¢°ÜѪ֢µÄÀíÂÛֵΪ£¨134-22ª±11=111ª±89£©111ª±89¡£ ¡£¡£¡£¡£
½«ÅÌËãµÄÀíÂÛÖµ»ãÈë±í3ª²4ª²3ÖС£ ¡£¡£¡£¡£

4ª±´úÈëχ2Öµ¹«Ê½£¨3ª²4ª²11£©ÅÌËãχ2Öµ£º

χ2ÖµÎÞµ¥Î»£¬£¬£¬£¬£¬ÓëËüÏìÓ¦µÄ¸ÅÂÊΪ5%µÄχ2Öµ£¨χ2 0ª±05£©ºÍ¸ÅÂÊΪ1%µÄχ2Öµ£¨χ20ª±01£©£¬£¬£¬£¬£¬¿ÉÓÉ¿¨·½¼òÃ÷½çÖµ±í3ª²4ª²4Öвé³ö¡£ ¡£¡£¡£¡£
ÈôÊÇÉÏÊöÄ¥Á·×¼È·£¬£¬£¬£¬£¬A-T²îÖµ²»»á̫С£ ¡£¡£¡£¡£¬£¬£¬£¬£¬ÈçA-TÏà²îÌ«´ó£¬£¬£¬£¬£¬Ä¥Á·¼ÙÉ轨ÉèµÄ¿ÉÄÜÐԾͲ»´ó¡£ ¡£¡£¡£¡£
5ª±Æ¾Ö¤χ2ÖµÓë×ÔÓɶȲéχ2Öµ±í£ºÊ×ÏÈÈ·¶¨×ÔÓɶȣ¨df»òn′»òr£¬£¬£¬£¬£¬£©£¬£¬£¬£¬£¬ÒòËĸñ±íÖÐÓÐËĸöÀíÂÛÖµ£¬£¬£¬£¬£¬Ö»ÒªÏÈÓó˳ý·¨Çó³öÈκÎÒ»¸ö£¬£¬£¬£¬£¬ÆäÓàÈý¸ö¿ÉÓüõ·¨Çó³ö¡£ ¡£¡£¡£¡£ÕâÖÖ±ØÐèÏÈÓó˳ý·¨Çó³öÀíÂÛÖµµÄ¸ñ×ÓÊý½Ð×ÔÓɶȡ£ ¡£¡£¡£¡£ÅÌËãÒªÁ죺
n′=£¨ÐÐÊý-1£©£¨ÁÐÊý-1£©£¬£¬£¬£¬£¬Ëĸñ±íÖÐΪÁ½ÐС¢Á½ÁУ¬£¬£¬£¬£¬¹Ê£º
n′=£¨2-1£©£¨2-1£©=1¡£ ¡£¡£¡£¡£
²é¼òÃ÷χ2Öµ±í£¨±í3ª²4ª²4£¬£¬£¬£¬£¬»ò²éÓйØÊé¼®¿¨·½½çÖµ±í£©£ºµ±n′=1ʱ£¬£¬£¬£¬£¬χ20ª±05=6ª±63£¬£¬£¬£¬£¬±¾Àýχ2=7ª±47£¬£¬£¬£¬£¬´óÓÚ6ª±63£¬£¬£¬£¬£¬ÒÑÁè¼Ýχ20ª±05=6ª±63ˮƽ£¬£¬£¬£¬£¬µ«Ð¡ÓÚχ20ª±005=7ª±88ˮƽ£¬£¬£¬£¬£¬¹ÊP£¼0ª±01¡£ ¡£¡£¡£¡£

£¨¶þ£©Ëĸñ±í×ÊÁϵÄχ2Ä¥Á·£¨Á½¸öÑù±¾ÂʵĽÏÁ¿£©
Ëĸñ±í×ÊÁϵÄχ2Ä¥Á··¨ÊÇÓ¦ÓÃ×îΪÆÕ±éºÍ×îΪÀû±ãµÄÒ»ÖÖÒªÁ죬£¬£¬£¬£¬ËüËùÄ¥Á·µÄ½öÊÇÁ½¸öÂʵĽÏÁ¿¡£ ¡£¡£¡£¡£»£»£»£»£»ù±¾Ä£Ê½Í¼¡¢¹«Ê½ºÍЧ¹ûÅжϱê×¼ÈçÏ£º

4ª±ÅÌËã°ì·¨£º
£¨1£©ÏȽ«ÎÊÌâÖеÄÊý¾Ý°´Ëĸñ±íģʽͼÐÎÊ½ÖÆ±íÅÅÁУ¨ÓÃÏÖʵÊý×Ö£¬£¬£¬£¬£¬²»±Ø°Ù·ÖÂÊ£©¡£ ¡£¡£¡£¡£
£¨2£©´úÈ빫ʽ(3ª²4ª²12)£¬£¬£¬£¬£¬ÅÌËãχ2Öµ£¬£¬£¬£¬£¬χ2ÖµÊÇͳ¼ÆÖµ£¬£¬£¬£¬£¬ÊýÖµÔ½´óͳ¼ÆÒâÒåÔ½´ó¡£ ¡£¡£¡£¡£
£¨3£©Æ¾Ö¤χ2ÖµµÄ¾Þϸ£ ¡£¡£¡£¡£¬£¬£¬£¬£¬°´PÖµÅжϱê׼ȷ¶¨PÖµ¾Þϸ¡£ ¡£¡£¡£¡£
£¨4£©×ö³öͳ¼Æ½áÂÛ¡£ ¡£¡£¡£¡£
ʾÀý3ª²4ª²6Óü׷¨ÖÎÁÆ´óÃæ»ýÉÕÉË£¨¼××飩71Àý£¬£¬£¬£¬£¬ÓÐ52Àý²¢·¢È«ÉíÐÔѬȾ£¬£¬£¬£¬£¬ÓÃÒÒ·¨ÖÎÁƵĴóÃæ»ýÉÕÉË£¨ÒÒ×飩42Àý£¬£¬£¬£¬£¬ÓÐ3Àý²¢·¢È«ÉíÐÔѬȾ¡£ ¡£¡£¡£¡£ÎÊÁ½×éѬȾ±¬·¢ÂÊÓÐÎÞͳ¼ÆÑ§²î±ð£¿£¿£¿£¿£¿£¿
¡¾½âÌâ°ì·¨¡¿
1ª±°´Ëĸñ±íÄ£Ê½ÖØÐÂÖÆ±í£¨±í3ª²4ª²7£©£º

2ª±ÅÌËãχ2Öµ(¹«Ê½3ª²4ª²2)£º

3ª±ÅÌËã×ÔÓɶȣºÓÉÓÚ×ÔÓɶȣ¨n′£©=1{£¨ÐÐ-1£©£¨ÁÐ-1£©=£¨2-1£©£¨2-1£©}£¬£¬£¬£¬£¬¹Ê±¾Ñо¿×ÔÓɶÈΪ1£¨1×1£©¡£ ¡£¡£¡£¡£
4ª±°´±í3ª²4ª²4±ê׼ȷ¶¨PÖµ£ºÒòχ2ÖµÔÚ3ª±84ºÍ6ª±63Ö®¼ä£¬£¬£¬£¬£¬¹ÊP£¼0ª±05£¬£¬£¬£¬£¬×é¼äÓÐÏÔÖøÐÔ²î±ð¡£ ¡£¡£¡£¡£
5ª±Ð§¹ûÅжϣºÒòP£¼0ª±05£¬£¬£¬£¬£¬ËµÃ÷ÒÒ·¨ÖÎÁƵĴóÃæ»ýÉÕÉ˲¡È˲¢·¢È«ÉíÐÔѬȾµÄ»ú»áµÍÓÚ¼××é¡£ ¡£¡£¡£¡£
£¨Èý£©ÐÐ×Áбí×ÊÁϵÄχ2Ä¥Á·
ÒÔÉϽ²µÄÊÇÁ½¸öÑù±¾ÂʵÄÄ¥Á·£¬£¬£¬£¬£¬ÓÃËĸñ±í·¨£¬£¬£¬£¬£¬µ«µ±ÐÐÊý»òÁÐÊý´óÓÚ2ʱ£¬£¬£¬£¬£¬Ó¦µ±ÓÃÐÐ×Áбí×ÊÁϵÄχ2Ä¥Á·£¬£¬£¬£¬£¬ÓÖ³ÆR×C±í×ÊÁÏ¡£ ¡£¡£¡£¡£»£»£»£»£»ù±¾¹«Ê½£º

AΪ¸÷¸ñ×ÓµÄÏÖʵƵÊý£¬£¬£¬£¬£¬nR¡¢nCΪ¸÷ÏÖʵƵÊýËù¶ÔÓ¦µÄÐеĺϼÆÊýºÍÁеĺϼÆÊý£¬£¬£¬£¬£¬NΪ×ܺϼÆÊý¡£ ¡£¡£¡£¡£
¸Ã¹«Ê½ÊÇÓÉ»ù±¾¹«Ê½×ª»»¶øÀ´£¬£¬£¬£¬£¬²»ÐèÒªÇóÀíÂÛÆµÊý£¬£¬£¬£¬£¬Àû±ãÊÊÓᣠ¡£¡£¡£¡£
ʾÀý3ª²3ª²7¼×ÒÒ±ûÈýËùҽԺͬÆÚ¶Ôijҩ¾ÙÐп¹Ñ¬È¾ÁÆÐ§ÊӲ죬£¬£¬£¬£¬¼×ÔºÊÓ²ìÁË29Àý£¬£¬£¬£¬£¬ÓÐÓã¨23Àý£©ÂÊΪ79ª±3%£¬£¬£¬£¬£¬ÒÒÔºÊÓ²ìÁË44Àý£¬£¬£¬£¬£¬ÓÐÓÃ(14Àý)ÂÊΪ31ª±8%£¬£¬£¬£¬£¬±ûÒ½ÔºÊÓ²ìÁË11Àý£¬£¬£¬£¬£¬ÓÐÓã¨3Àý£©ÂÊΪ27ª±3%£¨×ÊÁϼû±í3ª²4ª²8£©¡£ ¡£¡£¡£¡£ÎÊ3ËùÒ½Ôº¿¹Ñ¬È¾ÖÎÁƵÄ×ÜÌåÓÐÓÃÂÊÊÇ·ñÓÐÏÔÖøÒâÒ壿£¿£¿£¿£¿£¿

¡¾½âÌâ°ì·¨¡¿
1ª±½¨ÉèÄ¥Á·¼ÙÉ裺H0£º3ËùÒ½ÔºµÄÓÐÓÃÂÊÏàµÈ£¬£¬£¬£¬£¬π1=π2£»£»£»£»£»H1£º3ËùÒ½ÔºµÄÓÐÓÃÂʲ»ÏàµÈ£¬£¬£¬£¬£¬H1£ºπ1≠π2¡£ ¡£¡£¡£¡£
2ª±È·¶¨ÏÔÖøÐÔˮƽ£ºα£½0ª±05¡£ ¡£¡£¡£¡£
3ª±Æ¾Ö¤χ2»ù±¾ÅÌË㹫ʽ£¨3ª²4ª²13£©ÅÌËãχ2Öµ£º

4ª±È·¶¨×ÔÓɶȣ¨n′£©=£¨2-1£©£¨3-1£©= 2¡£ ¡£¡£¡£¡£
5ª±²éχ2Öµ±íÈ·¶¨PÖµ£º²é±í3ª²4ª²4¿ÉÖª£¬£¬£¬£¬£¬χ20ª±05£¨2£©=10ª±60£¬£¬£¬£¬£¬½ñχ2=17ª±907£¬£¬£¬£¬£¬£¾χ20ª±005(2)£¬£¬£¬£¬£¬¹ÊP£¼0ª±005¡£ ¡£¡£¡£¡£
6ª±ÍƶϽáÂÛ£ºÔÚα=0ª±05Ë®×¼ÉÏ£¬£¬£¬£¬£¬¾Ü¾øH0£¬£¬£¬£¬£¬ÎüÊÕH1£¬£¬£¬£¬£¬¹Ê¸ÃÒ©ÔÚÈýËùÒ½ÔºµÄ¿¹Ñ¬È¾Ð§¹û±£´æÍ³¼ÆÑ§²î±ð£¨P£¼0ª±005£©¡£ ¡£¡£¡£¡£
£¨ËÄ£© ¶þÁжà¸ñ×ÊÁÏχ2ֵĥÁ·
¶þÁжà¸ñ×ÊÁÏχ2ֵĥÁ·Ò²³Æ¶à¸öÑù±¾ÂʵĽÏÁ¿£¬£¬£¬£¬£¬ÆäÄ¿µÄÊÇÍÆ¶ÏËüÃÇËù´ú±íµÄ×ÜÌåÂÊÊÇ·ñÏàµÈ¡£ ¡£¡£¡£¡£¸ÃÀà×ÊÁϵĻù±¾Êý¾ÝÓÐRÐУ¨Ñù±¾¸öÊý£©£¬£¬£¬£¬£¬2ÁУ¨Ö¸Ñù±¾µÄÑôÐÔÊýÓëÒõÐÔÊý£©£¬£¬£¬£¬£¬ÒÔÊÇÓÖ½ÐR×2ÁÐÁª±í»òÁÐÁª±í(contingency table)¡£ ¡£¡£¡£¡£
¹«Ê½Í¬»ù±¾¹«Ê½£¨3ª²4ª²13£©£¬£¬£¬£¬£¬ÅÌËã³öµÄ×ÊÁÏ¿ÉÒÔ¾ÙÐÐÏà¹ØÆÊÎö¡£ ¡£¡£¡£¡£
ʾÀý3ª²4ª²8£¨°Ù·Ö±ÈÏ໥½ÏÁ¿£©£ºÄ³Ò½ÔºÊÓ²ìÑÏÖØÉÕÉ˲¡ÈËÔçÆÚÑÓ³ÙÖÎÁƶÔÐݿ˱¬·¢ÂÊÓÐÎÞÓ°Ï죬£¬£¬£¬£¬ÊÓ²ìʱ¼ä»®·ÖΪÉ˺ó´óÓÚ18Сʱ£¨¼××飩¡¢É˺ó6¡«18Сʱ£¨ÒÒ×飩ºÍ6СʱÒÔÄÚ£¨±û×飩3¸ö½ÓÊÜÖÎÁÆÐ¡×飬£¬£¬£¬£¬Ð§¹û»ãÓÚ±í3ª²4ª²9ÖС£ ¡£¡£¡£¡£ÎÊÑÓ³ÙÖÎÁƶÔÉÕÉËÐݿ˵ı¬·¢ÂÊÓÐÎÞͳ¼ÆÑ§²î±ð£¬£¬£¬£¬£¬»òÏ໥֮¼äÓÐÎÞ¹ØÁª£¿£¿£¿£¿£¿£¿

¡¾½âÌâ°ì·¨¡¿
1ª±½¨ÉèÄ¥Á·¼ÙÉ裺ÉèH0£ºÈýÖÖ²î±ðÖÎÁÆÊ±¼äÐݿ˱¬·¢ÂÊÏàµÈ£»£»£»£»£»ÉèH0£ºπ1=π2£»£»£»£»£»ÈýÖÖ²î±ðÖÎÁÆÊ±¼äÐݿ˱¬·¢Âʲ»ÍêÈ«ÏàµÈ£¬£¬£¬£¬£¬H1£ºπ1≠π2¡£ ¡£¡£¡£¡£
2ª±È·¶¨ÏÔÖøÐÔˮƽ£ºα=0ª±05¡£ ¡£¡£¡£¡£
3ª±ÅÌËãχ2Öµ£º½«±í3ª²4ª²9ÖеÄÊý×Ö´úÈ빫ʽ3ª²4ª²13£¬£¬£¬£¬£¬µÃ£º

4ª±ÅÌËã×ÔÓɶȣº£¨n′£©=£¨2-1£©£¨3-1£©= 2¡£ ¡£¡£¡£¡£
5ª±È·¶¨PÖµ£ºÒòn′=2£¬£¬£¬£¬£¬²éχ2Öµ±í£¨3ª²4ª²4£©£¬£¬£¬£¬£¬χ20ª±005£¨2£©=10ª±60£¬£¬£¬£¬£¬±¾Ñо¿χ2£½24ª±776£¾χ20ª±005£¨2£©£¨10ª±60£©Ë®Æ½£¬£¬£¬£¬£¬P£¼0ª±005¡£ ¡£¡£¡£¡£
6ª±ÍƶÏЧ¹û£ºÔÚα=0ª±05Ë®×¼ÉÏ£¬£¬£¬£¬£¬¾Ü¾øH0£¬£¬£¬£¬£¬½ÓÊÜH1£¬£¬£¬£¬£¬ÒòP£¼0ª±005£¬£¬£¬£¬£¬²î±ðÓи߶ÈÏÔÖøÐÔ£¬£¬£¬£¬£¬¹ÊÒÔΪÑÏÖØÉÕÉ˲¡ÈËÔçÆÚ½ÓÊÜÖÎÁƶÔÐݿ˱¬·¢ÂÊÓÐÏÔ×ÅÓ°Ïì×÷Ó㬣¬£¬£¬£¬¼´¿É½µµÍÐݿ˱¬·¢ÂÊ¡£ ¡£¡£¡£¡£
7ª±ÎªÁ˽øÒ»²½ËµÃ÷ËüÃÇÖ®¼äµÄÇ×½ü¹ØÁªË®Æ½£¬£¬£¬£¬£¬¿Éƾ֤¹«Ê½ÅÌËã¹ØÁªÏµÊý£º

ƾ֤Ëĸñ±íµÄpearsonÁÐÁªÏµÊýÖµrÔÚ0¡«1Ö®¼ä¡£ ¡£¡£¡£¡£rÖµÓú¿¿½ü0£¬£¬£¬£¬£¬ËµÃ÷Á½¸ö·ÖÀà±äÁ¿µÄ¹ØÏµÓúÈõ£¬£¬£¬£¬£¬rÖµÓú¿¿½ü1£¬£¬£¬£¬£¬ËµÃ÷¹ØÏµÓúÇ×½ü¡£ ¡£¡£¡£¡£ÓÉÓÚr=0ª±462£¬£¬£¬£¬£¬ËµÃ÷ÑÓ³ÙÖÎÁÆÊ±¼äÓëÐݿ˱¬·¢ÂʾßÓÐÒ»¶¨µÄ¹ØÁªÐÔ¡£ ¡£¡£¡£¡£
ʾÀý3ª²4ª²9£¨Ñù±¾½á¹¹±ÈÏ໥½ÏÁ¿£©£ºÄ³Ôº2004ÄêÊÕÖÎС¶ùÉÕÉË145Àý£¬£¬£¬£¬£¬ÖÂÉËÒòËØ£ºÈÈÒº150Àý£¬£¬£¬£¬£¬»ðÑæ10Àý£¬£¬£¬£¬£¬µçÁ÷7Àý£¬£¬£¬£¬£¬ÆäËû23Àý£»£»£»£»£»³ÉÈËÉÕÉË188ÈË£¬£¬£¬£¬£¬ÖÂÉËÒòËØ£ºÈÈÒº50Àý£¬£¬£¬£¬£¬»ðÑæ48Àý£¬£¬£¬£¬£¬µçÁ÷18Àý£¬£¬£¬£¬£¬ÆäËû72Àý£¨×ÊÁϼû±í3ª²4ª²10£©£¬£¬£¬£¬£¬ÎÊС¶ùÉÕÉËÔµ¹ÊÔ­ÓÉÓë³ÉÈËÉÕÉËÔµ¹ÊÔ­ÓÉÏ໥֮¼äÊÇ·ñÓйØÁªÐÔ£¿£¿£¿£¿£¿£¿

¡¾½âÌâ°ì·¨¡¿
1ª±½¨ÉèÄ¥Á·¼ÙÉèºÍÈ·¶¨ÏÔÖøÐÔˮƽ£º¢ÙÉèH0£ºÁ½×鲡ÈËÉËÒò×é³ÉÏàµÈ£¬£¬£¬£¬£¬H0£ºπ1=π2£»£»£»£»£»¢ÚÉèH1£ºÁ½×鲡ÈËÉËÒò×é³É²»ÍêÈ«ÏàµÈ£¬£¬£¬£¬£¬H1£ºπ1≠π2¡£ ¡£¡£¡£¡£
2ª±ÏÔÖøË®Æ½£ºα=0ª±05¡£ ¡£¡£¡£¡£
3ª±ÅÌËãχ2Öµ£º¿É½«±í3ª²4ª²10ÖеÄÊý×Ö´úÈ빫ʽ£¨3ª²4ª²13£©£¬£¬£¬£¬£¬µÃ£º

4ª±ÅÌËã×ÔÓɶȣº£¨n′£©=£¨2-1£©£¨4-1£©= 3¡£ ¡£¡£¡£¡£
5ª±È·¶¨PÖµ£ºn′=3£¬£¬£¬£¬£¬²éχ2Öµ±í£¨3ª²4ª²4£©£¬£¬£¬£¬£¬χ20ª±005£¨3£©=12ª±84£¬£¬£¬£¬£¬½ñχ2=70ª±14£¬£¬£¬£¬£¬¹ÊP£¼0ª±005¡£ ¡£¡£¡£¡£
6ª±ÍƶÏЧ¹û£ºÔÚα=0ª±05Ë®×¼ÉÏ£¬£¬£¬£¬£¬¾Ü¾øH0£¬£¬£¬£¬£¬½ÓÊÜH1£¬£¬£¬£¬£¬ÒòP£¼0ª±005£¬£¬£¬£¬£¬²î±ðÓкÜÊÇÏÔÖøÒâÒ壬£¬£¬£¬£¬¹ÊÒÔΪС¶ùÉÕÉ˲¡È˵ÄÖÂÉËÒòËØ×é³É±ÈÓë³ÉÈ˲î±ð£¬£¬£¬£¬£¬ËµÃ÷С¶ùÒÔÈÈÒºÌÌÉ˶à¼û£¬£¬£¬£¬£¬ÆäËûÉËÒò×é³É±ÈµÍÓÚ³ÉÈË×é¡£ ¡£¡£¡£¡£
7ª±ÎªÁ˽øÒ»²½ËµÃ÷ËüÃÇÖ®¼äµÄÇ×½ü¹ØÁªË®Æ½£¬£¬£¬£¬£¬¿Éƾ֤¹«Ê½3ª²4ª²14ÅÌËã¹ØÁªÏµÊý£º

ÓÉÓÚr=0ª±417£¬£¬£¬£¬£¬ËµÃ÷¶ùͯÉÕÉËÉËÒòÓë³ÉÄêÈËÉÕÉËÉËÒòÖ®¼ä¾ßÓÐÒ»¶¨µÄ¹ØÁªÐÔ¡£ ¡£¡£¡£¡£ÓÉÓÚ¶ùͯÈÈÒºÌÌÉ˱¬·¢ÂÊΪ72ª±4%£¬£¬£¬£¬£¬³ÉÈËÈÈÒºÌÌÉ˱¬·¢ÂÊΪ26ª±6%£¬£¬£¬£¬£¬Á½ÕßÊÇ·ñ±£´æÏÔÖøÐÔ²î±ð£¬£¬£¬£¬£¬ÐèÒª¾ÙÐÐÁ½Á½½ÏÁ¿·½¿ÉÃ÷È·¡£ ¡£¡£¡£¡£
£¨Î壩 ¶àÁжà¸ñ×ÊÁÏχ2ֵĥÁ·
ÁÙ´²¾­³£Óöµ½3×é»ò3×éÒÔÉϵĶà¸ñ×ÊÁÏ£¬£¬£¬£¬£¬ÆäÅÌËãÒªÁìÈÔÒÔ¹«Ê½£¨3ª²4ª²13£©Îª»ù´¡ ¡£ ¡£¡£¡£¡£ÏÖ¾ÙÀý˵Ã÷£º
ʾÀý3ª²4ª²10£¨¼ÆÊý×ÊÁÏÏà¹ØÆÊÎö£©£ºÄ³ÉÕÉËÖÐÐÄÊÓ²ìÁË176ÀýÎüÈëÐÔËðÉ˲¡È˵IJî±ðÉËÇéÓëºôÎüÄÑÌâµÄ¸÷×ÔÀýÊý£¬£¬£¬£¬£¬ÎʺôÎüÄÑÌâˮƽÓëÎüÈëËðÉËÉËÇéÖ®¼äÓÐÎÞ¹ØÁªÐÔ£¨Êý¾Ý×ÊÁÏ»ãÓÚ±í3ª²4ª²11ÖУ©£¿£¿£¿£¿£¿£¿

¡¾½âÌâ°ì·¨¡¿
±¾ÀýµÄÉè¼ÆºÍÆÊÎöÄ¿µÄÓëÉÏÊöÀý×Ó²î±ð¡£ ¡£¡£¡£¡£Ëü²¢·ÇÊÇÁ½¸öÑù±¾ÂÊÓë×ÜÌåÂÊ¡¢¶à¸öÑù±¾ÂÊÓë×ÜÌåÂÊ»ò×é³É±ÈÖ®¼äµÄ½ÏÁ¿£¬£¬£¬£¬£¬¶øÊǼòµ¥Ñù±¾×ÔÉíµÄ½ÏÁ¿£¬£¬£¬£¬£¬Ã¿¸ö¹¤¾ß»®·Ö°´Á½ÖÖ±ê¼Ç·Ö¼¶£¨ÉËÇéÓëºôÎüÄÑÌ⣩£¬£¬£¬£¬£¬ÊôÓÚË«ÏàÂʵÄÅÌË㣬£¬£¬£¬£¬Ä¿µÄÊÇÍÆ²âÁ½ÖÖ±ê¼ÇÖ®¼äÓÐÎÞÏà¹ØÐÔ¡£ ¡£¡£¡£¡£
1ª±½¨ÉèÄ¥Á·¼ÙÉ裺¢ÙÉèH0£ººôÎüÄÑÌâˮƽÓëÎüÈëÐÔËðÉËˮƽÎ޹أ»£»£»£»£»¢ÚÉèH1£ººôÎüÄÑÌâˮƽÓëÎüÈëÐÔËðÉËˮƽÓйء£ ¡£¡£¡£¡£
2ª±È·¶¨ÏÔÖøË®×¼£ºα=0ª±05¡£ ¡£¡£¡£¡£
3ª±ÅÌËãχ2Öµ£º½«±í3ª²4ª²11ÖеÄÊý×Ö´úÈ빫ʽ3ª²4ª²13£¬£¬£¬£¬£¬µÃ£º

4ª±ÅÌËã×ÔÓɶȣº£¨n′£©=£¨3-1£©£¨3-1£©= 4¡£ ¡£¡£¡£¡£
5ª±È·¶¨PÖµ£ºn′=4£¬£¬£¬£¬£¬²éχ2½çÖµ±í£¨3ª²24£©£¬£¬£¬£¬£¬χ20ª±005(4)=14ª±86£¬£¬£¬£¬£¬±¾Ñо¿χ2=179ª±623£¬£¬£¬£¬£¬£¾χ20ª±005(4)£¨14ª±86£©Ë®×¼£¬£¬£¬£¬£¬P£¼0ª±005¡£ ¡£¡£¡£¡£
6ª±ÍƶÏЧ¹û£ºÔÚα=0ª±05Ë®×¼ÉÏ£¬£¬£¬£¬£¬¾Ü¾øH0£¬£¬£¬£¬£¬½ÓÊÜH1£¬£¬£¬£¬£¬ÒòP£¼0ª±005£¬£¬£¬£¬£¬²î±ðÓи߶ÈÏÔÖøÐÔ£¬£¬£¬£¬£¬¹ÊÒÔΪºôÎüÄÑÌâˮƽÓëÎüÈëÐÔËðÉËˮƽ¹ØÁªÇ×½ü¡£ ¡£¡£¡£¡£
7ª±ÎªÁ˽øÒ»²½ËµÃ÷ËüÃÇÖ®¼äµÄÇ×½ü¹ØÁªË®Æ½£¬£¬£¬£¬£¬¿Éƾ֤¹«Ê½£¨3ª²4ª²14£©ÅÌËã¹ØÁªÏµÊý£º

ÓÉÓÚr=0ª±7316£¬£¬£¬£¬£¬ËµÃ÷ºôÎüÄÑÌâˮƽÓëÎüÈëËðˮƽ¾ßÓÐÏÔ×ŵĹØÁªÐÔ£¬£¬£¬£¬£¬¼´ÎüÈëËðÉËÔ½ÖØ£¬£¬£¬£¬£¬ºôÎüÄÑÌâÔ½ÑÏÖØ¡£ ¡£¡£¡£¡£
£¨Áù£© Åä¶Ô¼ÆÊý×ÊÁϵÄχ2Ä¥Á·

¼ÆÊý×ÊÁϵÄÅä¶ÔÉè¼Æ³£ÓÃÓÚÁ½ÖÖÄ¥Á·ÒªÁ죬£¬£¬£¬£¬Èç×÷ÓýÒªÁì¡¢Õï¶ÏÒªÁìµÄ½ÏÁ¿¡£ ¡£¡£¡£¡£ÆäÌØµãÊǶÔÑù±¾Öеĸ÷ÊӲ쵥λ»®·ÖÓÃÁ½ÖÖÒªÁì´¦Öóͷ££¬£¬£¬£¬£¬È»ºóÊÓ²ìÁ½ÖÖÒªÁìµÄЧ¹û¡£ ¡£¡£¡£¡£´ËÀà×ÊÁÏ¿ÉÓÃÅä¶Ôχ2Ä¥Á·£¬£¬£¬£¬£¬½ÏÁ¿Á½¸öÂÊÖ®¼äÊÇ·ñÓвî±ð¡£ ¡£¡£¡£¡£´ÓÅä¶ÔÉè¼ÆÀ´Ëµ£¬£¬£¬£¬£¬Åä¶Ô¼ÆÊý×ÊÁÏÓëǰ±ßËùÏÈÈݵÄÅä¶Ô¼ÆÊý×ÊÁÏÊÇÏàͬµÄ£¬£¬£¬£¬£¬¶¼ÊǰÑÁ½ÖÖ´¦Öóͷ£ÒòËØ»®·ÖÊ©¼ÓÓÚÌõ¼þÏàËÆµÄÊÜÊÔ¹¤¾ßÉÏ£¬£¬£¬£¬£¬»òÏȺóÊ©ÓÚͳһ¹¤¾ßÉÏ¡£ ¡£¡£¡£¡£Åä¶Ô¼Í¼ÊÔÑéЧ¹ûÈçΪ¼ÆÁ¿×ÊÁÏ£¬£¬£¬£¬£¬¼´Êô¼ÆÁ¿Åä¶Ô×ÊÁÏ£»£»£»£»£»ÈôЧ¹ûΪ¼ÆÊý×ÊÁÏ£¬£¬£¬£¬£¬¼´ÊôÓÚ¼ÆÊýÅä¶Ô×ÊÁÏ¡£ ¡£¡£¡£¡£Åä¶Ô¼ÆÊý×ÊÁϵÄχ2Ä¥Á·°üÀ¨Á½¸öÄÚÈÝ£º¢ÙÆÊÎöËüÃǵÄÏà¹Ø¹ØÏµ£»£»£»£»£»¢ÚÆÊÎö´¦Öóͷ£Ð§¹ûÓÐÎÞ²î±ð¡£ ¡£¡£¡£¡£
ʾÀý3ª²4ª²11£º100¸öÉî¢ò¶ÈÉÕÉË´´Ã棬£¬£¬£¬£¬Ã¿¸ö´´Ãæ»®·ÖÓÃÁ½ÖÖÒªÁ죨¼×·¨ÓëÒÒ·¨£©Õï¶Ï¡£ ¡£¡£¡£¡£Ð§¹û£º¼×·¨ÑôÐÔÕßΪ67¸ö£¬£¬£¬£¬£¬ÒÒ·¨ÑôÐÔÕß50¸ö£»£»£»£»£»ÆäÖм×ÒÒÁ½·¨¾ùÑôÐÔÕߣ¨a£©39¸ö£¬£¬£¬£¬£¬¼×ÒÒÁ½·¨¾ùÒõÐÔÕߣ¨d£©22¸ö£¬£¬£¬£¬£¬¼×·¨ÑôÐÔÒÒ·¨ÒõÐÔÕߣ¨d£©28¸ö£¬£¬£¬£¬£¬ÒÒ·¨ÑôÐÔ¼×·¨ÒõÐÔÕߣ¨c£©11¸ö£¨×ÊÁϼû±í3ª²4ª²12£©¡£ ¡£¡£¡£¡£Îʼ×ÒÒÁ½ÖÖÒªÁìµÄÕï¶ÏЧ¹ûÓÐÎÞ¹ØÁª¼°Í³¼ÆÑ§²î±ð£¿£¿£¿£¿£¿£¿
¡¾½âÌâ°ì·¨¡¿
µÚÒ»²½£ºÆÊÎöÁ½ÖÖÕï¶ÏЧ¹ûÓÐÎÞÏà¹Ø¹ØÏµ£¬£¬£¬£¬£¬Ã¿¸ö¹¤¾ß°´Á½ÖÖ´¦Öóͷ£½á¹¹·Ö×飬£¬£¬£¬£¬¹Ê¿ÉÓÃËĸñχ2Ä¥Á·¹«Ê½ÅÌË㣬£¬£¬£¬£¬ÍƶÏÁ½ÖÖÕï¶ÏÒªÁìÖ®¼äÓÐÎÞÏà¹Ø¹ØÏµ£º
1ª±½¨ÉèÄ¥Á·¼ÙÉ裺¢ÙÉèH0£º¼×ÒÒÕï¶ÏÒªÁìÖ®¼äÎ޹أ»£»£»£»£»¢ÚÉèH1£º¼×ÒÒÕï¶ÏÒªÁìÖ®¼äÓйء£ ¡£¡£¡£¡£
2ª±È·¶¨ÏÔÖøË®×¼£ºα=0ª±05¡£ ¡£¡£¡£¡£

3ª±ÅÌËãχ2Öµ£º½«±í3ª²4ª²12ÖеÄÊý×Ö´úÈ빫ʽ3ª²4ª²12£¬£¬£¬£¬£¬µÃ£º

4ª±ÅÌËã×ÔÓɶȣº£¨n′£©=£¨2-1£©£¨2-1£©=1¡£ ¡£¡£¡£¡£
5ª±È·¶¨PÖµ£ºn′=1£¬£¬£¬£¬£¬²éχ2Öµ±í£¨3ª²4ª²4£©£¬£¬£¬£¬£¬χ20ª±05=3ª±841£¬£¬£¬£¬£¬χ20ª±01=6ª±635£¬£¬£¬£¬£¬±¾Ñо¿6ª±ÍƶÏЧ¹û£ºÔÚα=0ª±05Ë®×¼ÉÏ£¬£¬£¬£¬£¬¾Ü¾øH0£¬£¬£¬£¬£¬½ÓÊÜH1£¬£¬£¬£¬£¬ÒòP£¼0ª±05£¬£¬£¬£¬£¬²î±ðÓÐÏÔÖøÐÔ£¬£¬£¬£¬£¬¹ÊÒÔΪÁ½ÖÖÕï¶Ïˮƽ¹ØÁªÇ×½ü¡£ ¡£¡£¡£¡£
µÚ¶þ²½£ºÅÌËãÁ½ÖÖ´¦Öóͷ£Ð§¹ûÓÐÎÞ²î±ð£ºÅÌË㹫ʽΪ£¨3ª²4ª²15£©£º

1ª±½¨ÉèÄ¥Á·¼ÙÉ裺¢ÙÉèH0£ºÁ½×ÜÌåb=c£»£»£»£»£»¢ÚH1£ºÁ½×ÜÌåb≠c¡£ ¡£¡£¡£¡£
2ª±È·¶¨ÏÔÖøË®×¼£ºα=0ª±05
3ª±ÅÌËãχ2Öµ£º½«±í3ª²4ª²12ÖеÄÊý×Ö´úÈ빫ʽ3ª²4ª²15£¬£¬£¬£¬£¬µÃ£º

4ª±×ÔÓɶȣºn′=1¡£ ¡£¡£¡£¡£
5ª±È·¶¨PÖµ£ºn′=1£¬£¬£¬£¬£¬²éχ2Öµ±í£¨3ª²4ª²4£©£¬£¬£¬£¬£¬χ20ª±05=3ª±841£¬£¬£¬£¬£¬χ20ª±01=6ª±635£¬£¬£¬£¬£¬±¾Ñо¿χ2=6ª±564£¬£¬£¬£¬£¬½éÓÚχ20ª±005ºÍχ20ª±01Ë®×¼Ö®¼ä£¬£¬£¬£¬£¬¹ÊP£¼0ª±05¡£ ¡£¡£¡£¡£
6ª±ÍƶÏЧ¹û£ºÔÚα=0ª±05Ë®×¼ÉÏ£¬£¬£¬£¬£¬¾Ü¾øH0£¬£¬£¬£¬£¬½ÓÊÜH1£¬£¬£¬£¬£¬ÒòP£¼0ª±05£¬£¬£¬£¬£¬²î±ðÓÐÏÔÖøÐÔ£¬£¬£¬£¬£¬¹ÊÒÔΪ¼×ÒÒÁ½ÖÖÕï¶ÏÒªÁì¼òÖ±ÕïÂʲî±ð£¬£¬£¬£¬£¬¼×·¨¼òÖ±ÕïÂʸßÓÚÒÒ·¨¡£ ¡£¡£¡£¡£
7ª±¹ØÁªÐÔÆÊÎö£ºÆ¾Ö¤¹«Ê½3ª²4ª²14ÅÌËã¹ØÁªÏµÊý£º

ÓÉÓÚr=0ª±629£¬£¬£¬£¬£¬ËµÃ÷¼×ÒÒÁ½ÖÖÒªÁìµÄÕï¶ÏЧ¹û¹ØÁªÐÔ½ÏÇ¿£¬£¬£¬£¬£¬¼×·¨ÓÅÓÚÒÒ·¨¡£ ¡£¡£¡£¡£
£¨Æß£©Á½¸öСÑù±¾µÄχ2Ä¥Á·ÒªÁì
ÓÉÓÚχ2Ä¥Á·ÊÇÒÔÒ»Ìõƽ»¬ÇúÏßΪ»ù´¡£ ¡£¡£¡£¡£¬£¬£¬£¬£¬´óÑù±¾ËùµÃµÄ¸ÅÂÊÓëÆäÕæÕý¸ÅÂʺܿ¿½ü¡£ ¡£¡£¡£¡£µ±ÎªÐ¡Ñù±¾Ê±£¬£¬£¬£¬£¬Èçn£¼40£¨ÓÐÈËÒÔΪn£¼50£©Ê±£¬£¬£¬£¬£¬ÓÃǰ±ß½²µÄ´óÑù±¾½ÏÁ¿µÄuÄ¥Á·»òχ2Ä¥Á·¹«Ê½ÅÌËãЧ¹û¶¼½û¾øÈ·£¬£¬£¬£¬£¬»òÆ«Òнϴ󣬣¬£¬£¬£¬ÐèÒª½ÓÄÉСÑù±¾Ð£Õý¹«Ê½ÅÌËã¡£ ¡£¡£¡£¡£Á½¸öСÑù±¾µÄÄ¥Á·ÒªÁìÓÐÁ½ÖÖ£ºÒ»ÖÖÊÇÑù±¾£¨n£©Æ«Ð¡£ ¡£¡£¡£¡£»£»£»£»£»Ò»ÖÖÊÇËĸñ±íÖÐÓÐÀíÂÛÆµÊýÖзºÆð0»ò1ʱ¡£ ¡£¡£¡£¡£ÏÖ¾ÙÀý˵Ã÷£º

1ª±Ð¡Ñù±¾Ð£Õý¹«Ê½£¨3ª²4ª²16£©£º

ʾÀý3ª²3ª²12£ºÓü×ÒÒÁ½ÖÖÒ©ÎïÖÎÁÆÌÇÄò²¡»µ¾Ò´´Ãæ¸÷30¸ö£¬£¬£¬£¬£¬¼×Ò©×éñ£ºÛ±¬·¢ÂÊΪ70%£¬£¬£¬£¬£¬ÒÒÒ©×éñ°ºÛ±¬·¢ÂÊΪ50%¡£ ¡£¡£¡£¡£ÎÊÁ½×éÖ®¼äµÄÁÆÐ§ÓÐÎÞͳ¼ÆÑ§²î±ð£¿£¿£¿£¿£¿£¿
¡¾½âÌâ°ì·¨¡¿
£¨1£©Æ¾Ö¤ÌâÖÐÊý¾ÝÁбí3ª²4ª²13£º

£¨2£©½«±í3ª²4ª²13ÖÐÊý×Ö´úÈ빫ʽ(3ª²4ª²16)£¬£¬£¬£¬£¬µÃ£º

£¨3£©Ð§¹ûÅжϣºÒòn′=1£¬£¬£¬£¬£¬χ2Öµ=7ª±050£¼χ20ª±01£¨6ª±635£©£¬£¬£¬£¬£¬¹ÊP£¼0ª±01¡£ ¡£¡£¡£¡£×é¼äÓкÜÊÇÏÔÖø²î±ð¡£ ¡£¡£¡£¡£
£¨4£©½áÂÛ£º¼×Ò©ÖÎÁƵĴ´Ãæñ£ºÛ±¬·¢ÂʵÍÓÚÒÒÒ©ÖÎÁÆ×é¡£ ¡£¡£¡£¡£
СÑù±¾ÂʵÄχ2¹«Ê½ÅÌËãЧ¹ûÓÅÓÚ´óÑù±¾ÂʵÄχ2¹«Ê½£¬£¬£¬£¬£¬ÓÈÆäÔÚÆäËûÄ¥Á·¹«Ê½ËùµÃ¸ÅÂÊ¿¿½üÄ¥Á·Ë®×¼Ê±£¬£¬£¬£¬£¬ÒËÓÃСÑù±¾ÂʵÄχ2¹«Ê½¡£ ¡£¡£¡£¡£ÏÖÔÚÐí¶àͳ¼ÆÑ§ÕßÒÔΪ£º¢ÙСÑù±¾ÂʵÄχ2¹«Ê½Îó²î×îС£ ¡£¡£¡£¡£¬£¬£¬£¬£¬×îΪ³£Ó㻣»£»£»£»¢ÚÒÑÍùÓÐÒ»ÖÖÎó½â£¬£¬£¬£¬£¬Ö»Óе±ÀýÊýСÓÚ30ʱ£¬£¬£¬£¬£¬»òÀíÂÛÆµÊýСÓÚ5ʱ£¬£¬£¬£¬£¬χ2Ô­¹«Ê½ÅÌËãÖµÖÐÓÐÎó²î£¬£¬£¬£¬£¬²»È»²»±Ø¾ÙÐÐУÕý¡£ ¡£¡£¡£¡£Êµ¼ù֤ʵ£¬£¬£¬£¬£¬Ö»ÒªÊÇÅжÏP=0ª±05»òP=0ª±01µÄÏÔÖøÄ¥Á·£¬£¬£¬£¬£¬ÓÃУÕý¹«Ê½Ò»¶¨ÓÅÓÚ»ù±¾¹«Ê½£¬£¬£¬£¬£¬×ÝÈ»ÀýÊý´óÓÚ30£¬£¬£¬£¬£¬»òÀíÂÛÆµÊý´óÓÚ5£¬£¬£¬£¬£¬½ÓÄÉУÕý¹«Ê½Ò²±Èχ2Ô­ÅÌËãÒªÁìÎó²îС¡£ ¡£¡£¡£¡£
2ª± Á½×éÊý¾ÝÖÐÓÐ1»ò0µÄСÑù±¾×ÊÁÏÅÌË㣺ǰ±ßÒÑÐðÊöÁËСÑù±¾ÂʵÄχ2ÅÌË㹫ʽÓëÒªÁ죬£¬£¬£¬£¬µ«ÔÚÏÖʵÊÂÇéÖУ¬£¬£¬£¬£¬Ð¡Ñù±¾×ÊÁϾ­³£·ºÆðÀíÂÛÆµÊýСÓÚ1µÄÇéÐΣ¬£¬£¬£¬£¬¼´T£¼1¡£ ¡£¡£¡£¡£ÕâÖÖ×ÊÁϲ»ÒËÓÃСÑù±¾ÅÌË㹫ʽÅÌË㣬£¬£¬£¬£¬¸ü²»¿ÉÓÃËĸñ±í¹«Ê½ÅÌË㣬£¬£¬£¬£¬µ«ÒËÓÃËĸñ±íÈ·ÇиÅÂÊ·¨ÅÌËã¡£ ¡£¡£¡£¡£È·ÇиÅÂÊ·¨ÊÇÓÉRª±Aª±FisherÌá³öµÄ£¬£¬£¬£¬£¬¹ÊÓÖ³ÆFisherÈ·ÇиÅÂÊÄ¥Á·¡£ ¡£¡£¡£¡£´Ë·¨±¾²»ÊôÓÚχ2Ä¥Á·ÁìÓò£¬£¬£¬£¬£¬µ«¿É×÷ΪËĸñ±í×ÊÁϼÙÉèÄ¥Á·µÄÔö²¹¡£ ¡£¡£¡£¡£ÏÈÈÝÈçÏ£º
È·ÇиÅÂÊ·¨ÖÖÖÖ×éºÏ¸ÅÂʵÄÅÌË㹫ʽ£¨3ª²4ª²17£©Îª£º

ʽÖÐa¡¢b¡¢c¡¢dµÄÒâÒåͬ±í3ª²4ª²5£¬£¬£¬£¬£¬£¡Îª½×³Ë·ûºÅ£¬£¬£¬£¬£¬N£¡=1×2×3×4×…×N£¬£¬£¬£¬£¬ÊýѧÉÏ»®¶¨£¡=1¡£ ¡£¡£¡£¡£Ò»Ñùƽ³£ÅÌËãÆ÷²»¿ÉÅÌËãN≥70µÄ½×³Ë£¬£¬£¬£¬£¬ÕâÖÖÇéÐÎÏÂÓöÔÊýÅÌËã¡£ ¡£¡£¡£¡£
Ëĸñ±íÖÐ|A-T|ÖµµÄÌØµã£º¢Ù¸÷¸ñÏàµÈ£¬£¬£¬£¬£¬Èç±í3ª²4ª²14µÄA-T£¬£¬£¬£¬£¬a¡¢dÁ½¸ñ¾ùΪ-1ª±4£¬£¬£¬£¬£¬b¡¢cÁ½¸ñ¾ùΪ+1ª±4£¬£¬£¬£¬£¬Æä¾ø¶ÔÖµÏàµÈ¡£ ¡£¡£¡£¡£Òò¶øÅÌËãijһËĸñ±íµÄ|A-T|ֵʱ£¬£¬£¬£¬£¬Ö»ÐèÅÌËã±íÖÐÈÎÒ»¸ñµÄ|A-T|Öµ¼´¿É£»£»£»£»£»¢ÚÒÀ´ÎÔö¼õËĸñ±íÖÐÈκÎÒ»¸ñµÄÊý¾Ý£¬£¬£¬£¬£¬¿ÉÁгöÖܱߺϼÆÎȹÌÌõ¼þÏÂÖÖÖÖ×éºÏµÄËĸñ±í£¬£¬£¬£¬£¬ÈçʾÀý3ª²4ª²13ÖеÄÎå¸öËĸñ±í£¬£¬£¬£¬£¬»®·ÖÅÌËãÆä|A-T|Öµ£¬£¬£¬£¬£¬ÁÐÓÚ±íÏ¡£ ¡£¡£¡£¡£Óɴ˿ɼû£¬£¬£¬£¬£¬Á½²àµÄ|A-T|Öµ½Ï´ó£¬£¬£¬£¬£¬¶øÖÐÐĵĽÏС¡£ ¡£¡£¡£¡£
ÖÖÖÖ×éºÏÏÂÀۼƸÅÂʵÄÅÌË㣺¢ÙË«²àÄ¥Á·£º°´¹«Ê½3ª²4ª²17»®·ÖÅÌËãÁ½²àËùÓÐ|A-T|ÖµµÄ¸÷Ëĸñ±íµÄPÖµ£¬£¬£¬£¬£¬È»ºóÏà¼Ó£¬£¬£¬£¬£¬¼´ÎªË«²àÄ¥Á·µÄPÖµ£»£»£»£»£»¢Úµ¥²àÄ¥Á·£º°´Ñо¿Ä¿µÄ£¬£¬£¬£¬£¬Ö»ÅÌËãÒ»²àµÄËùÓÐ|A-T|Öµ¼´ÊǼ°´óÓÚÑù±¾|A-T|ÖµµÃËĸñ±íµÄPÖµ£¬£¬£¬£¬£¬È»ºóÏà¼Ó£¬£¬£¬£¬£¬¼´Îªµ¥²àÄ¥Á·µÄPÖµ¡£ ¡£¡£¡£¡£
ʾÀý3ª²3ª²13£ºÄ³Ò½ÉúÓÃоÉÁ½ÖÖÒªÁìÖÎÁÆÉÕÉ˺óѪÐ鲡È˹²¼Æ27Àý£¬£¬£¬£¬£¬Ð§¹û»ãÓÚ±í3ª²4ª²14ÖУ¬£¬£¬£¬£¬ÎÊоÉÒ©ÎïµÄÁÆÐ§ÓÐÎÞ²î±ð£¿£¿£¿£¿£¿£¿

¡¾½âÌâ°ì·¨¡¿
£¨1£©½¨ÉèÄ¥Á·¼ÙÉ裺H0£ºÐÂÒ©Óë¾ÉÒ©ÖÎÓúÂÊÏàµÈ£¬£¬£¬£¬£¬¼´π1=π2£»£»£»£»£»H1£ºÐÂÒ©Óë¾ÉÒ©ÖÎÓúÂʲ»ÏàµÈ£¬£¬£¬£¬£¬¼´π1≠π2¡£ ¡£¡£¡£¡£
£¨2£©È·¶¨ÏÔÖøË®×¼£ºα=0ª±05¡£ ¡£¡£¡£¡£
£¨3£©ÅÌËã¸ÅÂÊP£º±¾×éN=25£¼40£¬£¬£¬£¬£¬ÇÒÓÖT£¼5£¬£¬£¬£¬£¬¹ÊÒËÓÃÈ·ÇиÅÂÊ·¨¡£ ¡£¡£¡£¡£Óɱí3ª²4ª²14¿É¼û£¬£¬£¬£¬£¬×îСÖܱߺϼÆÊýΪ4£¬£¬£¬£¬£¬¹ÊËùÓпÉÄܵÄ×éºÏÓÐ5ÖÖ£¬£¬£¬£¬£¬»®·ÖΪ£º

£¨4£©È·¶¨PÖµ£¬£¬£¬£¬£¬×ö³öÍÆ¶Ï½áÂÛ£ºPÖµÓ¦¼´ÊÇËùÓÐСÓÚÑù±¾µãµÄÖÖÖÖ¸ÅÂÊÖ®ºÍ£¬£¬£¬£¬£¬±¾ÀýÇкÏÑù±¾µãÒªÇóÕßΪ£¨1£©¡¢£¨2£©¡¢£¨5£©£¬£¬£¬£¬£¬Òò´Ë£¬£¬£¬£¬£¬PÖµµÄ×éºÏΪÉÏÊöÈýµãÖ®ºÍ£¬£¬£¬£¬£¬¼´P=0ª±0166+0ª±1423+0ª±1079=0ª±2668¡£ ¡£¡£¡£¡£°´α=0ª±05Ë®×¼£¬£¬£¬£¬£¬P£¾0ª±05¡£ ¡£¡£¡£¡£²»¿ÉÒÔΪÁ½ÖÖÁÆ·¨µÄÖÎÓúÂÊÓÐͳ¼ÆÑ§²î±ð¡£ ¡£¡£¡£¡£
3ª±²éËĸñ±íÏÔÖøÐÔÄ¥Á·ÓÃ±í£¨CÖµ±í£©·¨£º´ËÒªÁìÇáÓ¯Ò×ÐУ¬£¬£¬£¬£¬±¾ÎIJ»ÔÙÐðÊö£¬£¬£¬£¬£¬¿É²ÎÕÕÓйØ×ÊÁÏÅÌÎÊ¡£ ¡£¡£¡£¡£

ÍøÕ¾µØÍ¼