NGÏàÐÅÆ·ÅƵÄÁ¦Á¿¹ÙÍø

English NGÏàÐÅÆ·ÅƵÄÁ¦Á¿¹ÙÍø¼¯ÍÅÆóÒµÓÊÏä

µÚ¶þ½Ú Ïà¶ÔΣÏնȹ«Ê½µÄÐÎòÓëÓ¦ÓÃ

×÷ÕߣºÐìÈÙÏé ³öÊéÉ磺Öйú¿ÆÑ§ÊÖÒÕ³öÊéÉç ¿¯ÐÐÈÕÆÚ£º2009Äê7ÔÂ

Ò»¡¢Ïà¶ÔΣÏÕ¶ÈÓëʾÀýÆÊÎö
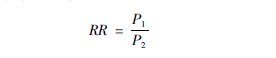
RRͨ³£ÓÃÓÚǰհÐÔÑо¿¡£¡£¡£ ¡£¡£¡£¡£¡£¹«Ê½ÖеÄP1ºÍP2»®·ÖÌåÏÖͳһÊÂÎñÔÚÁ½ÖÖ²î±ðÇéÐÎϵı¬·¢ÂÊ¡£¡£¡£ ¡£¡£¡£¡£¡£Ò»Ñùƽ³£ÓÃP1ÌåÏÖ̻¶ÔÚΣÏÕÒòËØÏÂijÊÂÎñµÄ±¬·¢ÂÊ£» £»£» £»£»£»£»P2ÌåÏÖδ̻¶ÔÚΣÏÕÒòËØÏÂijÊÂÎñµÄ±¬·¢ÂÊ£¬£¬£¬£¬£¬£¬Á½ÕßÖ®±ÈÖµ¾ßÓб¶Êý¹ØÏµ¡£¡£¡£ ¡£¡£¡£¡£¡£ÊÂÎñÖ¸µÄÊÇÖîÈ综²¡¡¢éæÃü¡¢Ñ¬È¾¡¢·¢²¡µÈ¡£¡£¡£ ¡£¡£¡£¡£¡£
Ïà¶ÔΣÏÕÐÔ£¨RR£©µÄÅÌË㹫ʽ£¨3ª²5ª²1£©Îª£º

ʾÀý3ª²5ª²1ijҽÉúÊÓ²ìÁË150Àý³ÉÄê´óÃæ»ýÉÕÉË»¼Õߣ¬£¬£¬£¬£¬£¬ÆäÖÐ100ÀýÉËǰÓÐθʮ¶þÖ¸³¦À£Ññ²¡Ê·£¬£¬£¬£¬£¬£¬ÉÕÉ˺󱬷¢³öѪÕß10Àý£¬£¬£¬£¬£¬£¬50ÀýÎÞÀ£Ññ²¡Ê·ÕßÉÕÉ˺󱬷¢³öѪÕß2Àý£¬£¬£¬£¬£¬£¬ÊÔÅÌËãÓÐÀ£Ññ²¡ÓëÎÞÀ£Ññ²¡ÉÕÉË»¼ÕßÏû»¯µÀ³öѪµÄÏà¶ÔΣÏÕ¶È¡£¡£¡£ ¡£¡£¡£¡£¡£
¡¾½âÌâ°ì·¨¡¿
1ª±ÏȽ«ÌâÖÐµÄÆµÊýÂþÑÜÁÐÈ루±í3ª²5ª²1£©¡£¡£¡£ ¡£¡£¡£¡£¡£

2ª±»®·ÖÅÌËãÀ£Ññ×éÓëÎÞÀ£Ññ×éµÄP1ÓëP2Öµ£º P1=10/100=0ª±1£¨»ò10%£©£» £»£» £»£»£»£»P2=2/50=0ª±04£¨»ò4%£©¡£¡£¡£ ¡£¡£¡£¡£¡£
3ª±½«P1ÓëP2Ч¹û´úÈ빫ʽ3ª²5ª²1£¬£¬£¬£¬£¬£¬µÃ£º

4ª±Ð§¹ûÆÊÎö£ºÉÕÉËǰÓÐÀ£Ññ²¡²¡Ê·ÕßÏû»¯µÀ³öѪµÄÏà¶ÔΣÏÕ¶ÈRR=2ª±5£¬£¬£¬£¬£¬£¬ÕâÒâζ×ÅÓÐÀ£Ññ²¡²¡Ê·ÕßÉÕÉ˺óÏû»¯µÀ³öѪ»ú»áÊÇÎÞÀ£Ññ²¡²¡Ê·ÕßµÄ2ª±5±¶¡£¡£¡£ ¡£¡£¡£¡£¡£
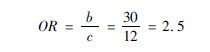
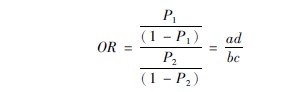
¶þ¡¢ ±ÈÊý±È(OR£©ÓëʾÀýÆÊÎö
ORÒ²³ÆÓÅÊÆ±È£¬£¬£¬£¬£¬£¬³£ÓÃÓÚ»ØÊ×ÐÔÑо¿¡£¡£¡£ ¡£¡£¡£¡£¡£Óɹ«Ê½£¨5ª²5ª²2£©¿ÉÒÔ¿´³ö£¬£¬£¬£¬£¬£¬ËüÃÇÖ»ÊÇÁ½¸ö±ÈÊýÏà³ý£¬£¬£¬£¬£¬£¬Òò´Ë£¬£¬£¬£¬£¬£¬³ÆÎª±ÈÊý±È¡£¡£¡£ ¡£¡£¡£¡£¡£±ÈÊý±ÈµÄÖ÷ÒªÒâÒåÔÚÓÚµ±Ä³ÊÂÎñµÄ±¬·¢ÂÊ£¨Èç·¢²¡ÂÊ»ò»¼²¡ÂÊ£¬£¬£¬£¬£¬£¬»ò²¡ËÀÂÊ£©ºÜСµÄÇéÐÎÏ£¬£¬£¬£¬£¬£¬1-P1≈1£¬£¬£¬£¬£¬£¬1-P2≈1£¬£¬£¬£¬£¬£¬´Ó¶øOR≈RR¡£¡£¡£ ¡£¡£¡£¡£¡£¼´ÔÚijÊÂÎñ±¬·¢ÂʺÜСµÄÇéÐÎÏ£¬£¬£¬£¬£¬£¬±ÈÊý±È½üËÆµØ¼´ÊÇÏà¶ÔΣÏÕ¶È¡£¡£¡£ ¡£¡£¡£¡£¡£±ðµÄ£¬£¬£¬£¬£¬£¬µ±OR=1ʱ£¬£¬£¬£¬£¬£¬Ò»¶¨»áÓÐRR=1£¬£¬£¬£¬£¬£¬·´Ö®£¬£¬£¬£¬£¬£¬µ±RR=1ʱ£¬£¬£¬£¬£¬£¬Ò»¶¨»áÓÐOR=1¡£¡£¡£ ¡£¡£¡£¡£¡£
±ÈÊý±È(OR£©µÄÅÌË㹫ʽ£ºÎª£¨3ª²5ª²2£©£º

ʾÀý3ª²5ª²2ijҽÉúÑо¿ÉÕÉËÓëÖ°ÒµµÄ¹ØÏµ£¬£¬£¬£¬£¬£¬¹²ÊÓ²ìÁË2¸ö¹¤³§µÄÖ°¹¤£¬£¬£¬£¬£¬£¬¸÷100ÈË£¬£¬£¬£¬£¬£¬»¯¹¤³§100ÈËÖÐÓÐ20ÈËÒ»¾­±¬·¢¹ýÉÕÉË£¬£¬£¬£¬£¬£¬·ÄÉ´³§100ÈËÖÐÓÐ5ÈËÒ»¾­±¬·¢¹ýÉÕÉË£¬£¬£¬£¬£¬£¬ÅÌËãÆä±ÈÊý±È¡£¡£¡£ ¡£¡£¡£¡£¡£
¡¾½âÌâ°ì·¨¡¿
1ª±½«Ê¾Àý3ª²5ª²2ÖеÄÊýÖµ»ãÓÚ±í3ª²5ª²2ÖУº

2ª±»®·ÖÅÌËãadÓëbc£ºad=20×95=1900£¬£¬£¬£¬£¬£¬bc=80×5=400¡£¡£¡£ ¡£¡£¡£¡£¡£
3ª±ÅÌËãOR£º1900/400=4ª±75¡£¡£¡£ ¡£¡£¡£¡£¡£
4ª±Ð§¹ûÆÊÎö£º»¯¹¤Ö°ÒµµÄÉÕÉ˱¬·¢Æø»áÊÇ·ÄÉ´Ö°ÒµµÄ4ª±75±¶¡£¡£¡£ ¡£¡£¡£¡£¡£
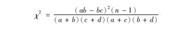
µÚÈý½ÚORÖµµÄχ2Ä¥Á·
“²¡Àý-±ÈÕÕÑо¿”ÊÇͨ¹ý»ØÖ÷ÒªÁì½ÏÁ¿²¡ÀýºÍ±ÈÕÕ»¼ÕßÔÚ»¼²¡Ç°Ì»Â¶ÓÚijÖÖ¿ÉÄܵÄΣÏÕÒòËØ·½ÃæµÄ²î±ð£¬£¬£¬£¬£¬£¬ÆÊÎö¸ÃÒòËØÓë¼²²¡µÄ¿ÉÄܹØÏµ¡£¡£¡£ ¡£¡£¡£¡£¡£²¡Àý-±ÈÕÕÑо¿ÖУ¬£¬£¬£¬£¬£¬ÈôÊDz¡Àý×éÓë±ÈÕÕ×éµÄ̻¶ʷֻȡ̻¶ºÍ·Ç̻¶Á½¸öˮƽ£¬£¬£¬£¬£¬£¬³£ÓÃÉè¼ÆÒªÁìÓÐÁ½ÖÖ£¬£¬£¬£¬£¬£¬Ò»¸öÊdzÉ×éµÄ²¡Àý±ÈÕÕÉè¼Æ£¬£¬£¬£¬£¬£¬ÁíÒ»¸öÊÇÅä¶ÔµÄ²¡Àý-±ÈÕÕÉè¼Æ£¬£¬£¬£¬£¬£¬¼´1¡Ã1Åä¶ÔÉè¼Æ¡£¡£¡£ ¡£¡£¡£¡£¡£ËüÃÇËäÈ»¶¼ÊǽÓÄÉËĸñ±íÅÅÁÐÐÎʽ£¬£¬£¬£¬£¬£¬µ«ÄÚÈݽṹ·×ÆçÑù(¼û±í3ª²5ª²3ºÍ3ª²5ª²4)¡£¡£¡£ ¡£¡£¡£¡£¡£

Ò»¡¢³É×鲡Àý-±ÈÕÕÑо¿
³É×鲡Àý-±ÈÕÕÑо¿Ò²³Æ³É×é×ÊÁÏ£¬£¬£¬£¬£¬£¬ÊôÓÚµ¥ÒòËØÆÊÎö¡£¡£¡£ ¡£¡£¡£¡£¡£³É×éÓë±ÈÕÕÑо¿²¡Àý¶à²»ÊÇÀ´×ÔÒ»Àο¿ÈËȺ£¬£¬£¬£¬£¬£¬¿ÉÄÜΪÃÅÕï»ò²¡·¿²¡ÈË£¬£¬£¬£¬£¬£¬¹ÊÎÞ·¨ÅÌËã·¢²¡ÂÊ»òéæÃüÂÊ£¬£¬£¬£¬£¬£¬Ò²ÄÑÒÔÅÌËãRRÖµ£¬£¬£¬£¬£¬£¬Ö»ÄÜÓÃORÀ´Ô¤¼ÆRRÖµµÄ¾Þϸ£¬£¬£¬£¬£¬£¬Ó¦½ÓÄɱÈÊý±È£¨OR£©¹«Ê½ÅÌË㣬£¬£¬£¬£¬£¬ ÅÌË㹫ʽ½ÓÄÉ3ª²5ª²2£¬£¬£¬£¬£¬£¬ÏÔÖøÐÔÄ¥Á·¹«Ê½Îª(3ª²5ª²3)£º

ʾÀý3ª²5ª²3ijҽÉúÑо¿Æ¤·ôñ£ºÛ°©ÓëÉÕÉËñ£ºÛµÄ¹ØÏµ£¬£¬£¬£¬£¬£¬×ÊÁÏ»ãÓÚ±í3ª²5ª²5ÖС£¡£¡£ ¡£¡£¡£¡£¡£ÎÊÉÕÉËñ£ºÛÊÇ·ñÊÇ×é³ÉÉÕÉËñ£ºÛ°©µÄΣÏÕÒòËØ£¿£¿£¿£¿£¿

¡¾½âÌå°ì·¨¡¿
1ª±Æ¾Ö¤¹«Ê½3ª²5ª²2£¬£¬£¬£¬£¬£¬ÅÌËã±ÈÊý±È£¨OR£©£º

2ª±±ÈÊý±ÈµÄ¼ÙÉèÄ¥Á·£ºµ±OR=1ʱ£¬£¬£¬£¬£¬£¬ÒÔΪñ£ºÛ°©ÓëÉÕÉËñ£ºÛÎÞ¹ØÁª¡£¡£¡£ ¡£¡£¡£¡£¡£
3ª±½¨ÉèÄ¥Á·¼ÙÉ裬£¬£¬£¬£¬£¬È·¶¨Ä¥Á·Ë®×¼£ºH0£º×ÜÌåOR=1£» £»£» £»£»£»£»H1£º×ÜÌåOR≠1£» £»£» £»£»£»£»α=0ª±05¡£¡£¡£ ¡£¡£¡£¡£¡£
4ª±ÅÌËãΧ2ÊýÖµ£ºÒÔ¹«Ê½£¨3ª²5ª²3£©ÅÌË㣬£¬£¬£¬£¬£¬µÃ£º

5ª±Ð§¹ûÆÊÎö£ºÒò±¾Àýχ2=28ª±75£¬£¬£¬£¬£¬£¬28ª±75£¾χ20ª±005£¨1£©£¨7ª±88£©£¬£¬£¬£¬£¬£¬¹ÊP£¼0ª±005£¬£¬£¬£¬£¬£¬±ÈÊý±ÈÓкÜÊÇÏÔÖøÒâÒ壬£¬£¬£¬£¬£¬¹Ê¿ÉÒÔΪÉÕÉËñ£ºÛ±¬·¢°©±äµÄΣÏÕÐÔ´óÓÚ·ÇÉÕÉËñ£ºÛÈËȺ¡£¡£¡£ ¡£¡£¡£¡£¡£
¶þ¡¢ Åä¶ÔÉè¼Æ×ÊÁÏÆÊÎö
Åä¶Ô×ÊÁÏÆÊÎöÓֳƓ1¡Ã1”Åä¶Ô×ÊÁÏ£¬£¬£¬£¬£¬£¬Ò²Êôµ¥ÒòËØ×ÊÁÏ¡£¡£¡£ ¡£¡£¡£¡£¡£µ±“²¡Àý-±ÈÕÕÑо¿”ÊÇÒÔһȷ¶¨ÈËȺΪ¹¤¾ß£¨¸ÃÈ·¶¨ÈËȺ°üÀ¨ÁËËùÓв¡Àý»òËùÓв¡ÀýµÄÒ»¸öËæ»úÑù±¾£©Ê±£¬£¬£¬£¬£¬£¬¿ÉÓÃÒÔϹ«Ê½ÅÌËãÆäÈËȺÖÐ̻¶ÕßÓë·Ç̻¶ÕßÈËÊý£¬£¬£¬£¬£¬£¬²¢½«Æä×÷Ϊ·Öĸ£¬£¬£¬£¬£¬£¬Çó³öÁ½×éµÄ·¢²¡ÂÊ»òéæÃüÂÊ£¬£¬£¬£¬£¬£¬È»ºóÅÌËãORºÍ¾ÙÐÐÏÔÖøÐÔÄ¥Á·¡£¡£¡£ ¡£¡£¡£¡£¡£

ʾÀý3ª²5ª²4ijҽÉúÑо¿´óÃæ»ýÉÕÉ˽ÓÄɓ賦ð¤Ä¤±£» £»£» £»£»£»£»¤¼Á”Ô¤·Àθ³öѪµÄ×÷Ó㬣¬£¬£¬£¬£¬×ÊÁÏ»ãÓÚ±í3ª²5ª²6ÖС£¡£¡£ ¡£¡£¡£¡£¡£ÎÊ´óÃæ»ýÉÕÉ˲¡È˲»±Ø“賦ð¤Ä¤±£» £»£» £»£»£»£»¤¼Á”¾ÙÐÐÔ¤·ÀÖÎÁÆ£¬£¬£¬£¬£¬£¬ÊÇ·ñÊÇ´óÃæ»ýÉÕÉ˲¡È˱¬·¢Î¸³öѪµÄΣÏÕÒòËØ?

¡¾½âÌâ°ì·¨¡¿
1ª±Æ¾Ö¤¹«Ê½£¨3ª²5ª²4£©£¬£¬£¬£¬£¬£¬ÇóORµÄÖµ£º

2ª±±ÈÊý±ÈµÄ¼ÙÉèÄ¥Á·£º¼´Ä¥Á·×ÜÌåORÓë1Ö®¼äµÄ²î±ðÊÇ·ñ¾ßÓÐͳ¼ÆÑ§ÒâÒå¡£¡£¡£ ¡£¡£¡£¡£¡£
£¨1£©½¨ÉèÄ¥Á·¼ÙÉ裬£¬£¬£¬£¬£¬È·¶¨Ä¥Á·Ë®×¼£ºH0£º×ÜÌåOR=1£» £»£» £»£»£»£» H1£º×ÜÌåOR≠1£» £»£» £»£»£»£» α=0ª±05¡£¡£¡£ ¡£¡£¡£¡£¡£
£¨2£©ÅÌËãÄ¥Á·Í³¼ÆÁ¿£ºÆ¾Ö¤±í3ª²5ª²5Êý¾Ý£¬£¬£¬£¬£¬£¬ÅÌËãX2Öµ£º

3ª±È·¶¨PÖµ£¬£¬£¬£¬£¬£¬×÷³öÍÆ¶Ï½áÂÛ£º
²éχ2½çÖµ±í£¬£¬£¬£¬£¬£¬ÓÉÓÚ×ÔÓɶȣ¨n′£©=1£¬£¬£¬£¬£¬£¬ χ2=6ª±72£¾χ20ª±01(1)¡£¡£¡£ ¡£¡£¡£¡£¡£°´α=0ª±05µÄË®×¼¾Ü¾øH0£¬£¬£¬£¬£¬£¬½ÓÊÜH1£¬£¬£¬£¬£¬£¬ËµÃ÷賦ð¤Ä¤±£» £»£» £»£»£»£»¤¼Á¶Ô´óÃæ»ýÉÕÉ˲¡È˳¦µÀ³öѪ¾ßÓб£» £»£» £»£»£»£»¤×÷Ó㬣¬£¬£¬£¬£¬ËµÃ÷²»±ØÎ¸³¦ð¤Ä¤±£» £»£» £»£»£»£»¤¼Á·ÀÖÎÕß±¬·¢³¦µÀ³öѪµÄÏà¶ÔΣÏÕÐÔΪ±£» £»£» £»£»£»£»¤ÖÎÁÆ×éµÄ6ª±72±¶¡£¡£¡£ ¡£¡£¡£¡£¡£
Èý¡¢ ¹ØÓÚORµÄ95%¿ÉÐÅÇø¼äµÄÅÌËã
ORÅÌËãÖµ½öÊÇÒ»¸ö×ÜÌå²ÎÊý£¬£¬£¬£¬£¬£¬ËüËùÖ¸µÄ½öÊÇÒ»¸öÃæ£¬£¬£¬£¬£¬£¬¶ø²»ÊÇÒ»¸öµã£¬£¬£¬£¬£¬£¬ÐèÒªÅÌËãÆä95%µÄ¿ÉÐÅÇø¼ä£¬£¬£¬£¬£¬£¬ÅÌË㹫ʽΪ£¨3ª²5ª²6£©£ºOR1±1ª±96/Χ2
ʾÀý3ª²5ª²5£ºÄ³Ò½ÉúÑо¿»§ÄÚÉÕÉËÓë»§ÍâÉÕÉËÓëÎüÈëËðÉ˵ĹØÏµ£¬£¬£¬£¬£¬£¬Ð§¹û¼û±í3ª²5ª²7£º

¡¾½âÌâ°ì·¨¡¿
1ª±Æ¾Ö¤¹«Ê½£¨3ª²5ª²2£©ÅÌËãOR£º

3ª±Òò×ÔÓɶÈΪ1£¬£¬£¬£¬£¬£¬χ2£¾6ª±64£¬£¬£¬£¬£¬£¬¹ÊP£¼0ª±01£¬£¬£¬£¬£¬£¬±ÈÊý±ÈÓкÜÊÇÏÔÖøÒâÒ壬£¬£¬£¬£¬£¬¿ÉÒÔΪ̻¶ÓÚÊÒÄÚÇéÐα¬·¢ÎüÈëËðÉ˵ÄΣÏÕÐÔ±ÈÊÒÍâ×éΪ¸ß¡£¡£¡£ ¡£¡£¡£¡£¡£
4ª±Æ¾Ö¤ORµÄ95%¿ÉÐÅÇø¼äµÄÅÌË㹫ʽ£¨3ª²5ª²6£©£ºORµÄ95%¿ÉÐÅÇø¼äΪ£º

1ª±99£¨1±1ª±96/15ª±93£©£¨¼´ÉÏϲ¨¶¯¹æÄ£ÔÚ1ª±42¡«2ª±79Ö®¼ä£©¡£¡£¡£ ¡£¡£¡£¡£¡£
ʾÀý3ª²5ª²6£ºÄ³Ò½ÉúÑо¿»¯¹¤Óë·Ç»¯¹¤Ö°Òµ¹¤ÈËÓëÉÕÉ˵ĹØÏµ£¬£¬£¬£¬£¬£¬ÊÓ²ì×ÊÁÏ»ãÓÚ±í3ª²5ª²8£¬£¬£¬£¬£¬£¬ÎÊ̻¶ÓÚ»¯¹¤Ö°Òµ×鹤È˱¬·¢ÉÕÉ˵ÄΣÏÕÐÔÊÇ·ñ¸ßÓÚ·Ç»¯¹¤Ö°Òµ×飿£¿£¿£¿£¿²¢ÅÌËãÆä95%¿ÉÐÅÇø¼ä¡£¡£¡£ ¡£¡£¡£¡£¡£

¡¾½âÌâ°ì·¨¡¿
1ª±Æ¾Ö¤¹«Ê½£¨3ª²5ª²4£©ÅÌËãOR£º

2ª±Æ¾Ö¤¹«Ê½£¨3ª²5ª²5£©ÅÌËãχ2Öµ£º

3ª±Òò×ÔÓɶÈΪ1£¬£¬£¬£¬£¬£¬χ2£¾6ª±64£¬£¬£¬£¬£¬£¬¹ÊP£¼0ª±01£¬£¬£¬£¬£¬£¬±ÈÊý±ÈÓɺÜÊÇÏÔÖøÒâÒ壬£¬£¬£¬£¬£¬¿ÉÒÔΪ̻¶ÓÚ»¯¹¤Ö°Òµ±¬·¢ÉÕÉ˵ÄΣÏÕÐԱȷǻ¯¹¤×éΪ¸ß¡£¡£¡£ ¡£¡£¡£¡£¡£
4ª±Æ¾Ö¤ORµÄ95%¿ÉÐÅÇø¼äµÄÅÌË㹫ʽ£¨3ª²5ª²6£©£ºORµÄ95%¿ÉÐÅÇø¼äΪ£º

2ª±5£¨1+1ª±96/6ª±88£©£¨¼´ÉÏϲ¨¶¯¹æÄ£ÔÚ1ª±26¡«4ª±96£©

ÍøÕ¾µØÍ¼