NGÏàÐÅÆ·ÅƵÄÁ¦Á¿¹ÙÍø

English NGÏàÐÅÆ·ÅƵÄÁ¦Á¿¹ÙÍø¼¯ÍÅÆóÒµÓÊÏä

µÚÒ»½Ú ¼¯ÖÐÇ÷ÊÆÖ¸±ê

×÷ÕߣºÐìÈÙÏé ³öÊéÉ磺Öйú¿ÆÑ§ÊÖÒÕ³öÊéÉç ¿¯ÐÐÈÕÆÚ£º2009Äê7ÔÂ

ÀëÉ¢£¨dispersion£©Ç÷ÊÆÖ¸±êÖ¸µÄÊǼÆÁ¿×ÊÁÏËùÓÐÊÓ²ìֵƫÀëÖÐÐÄλÖõÄˮƽ£¨measures of variation£©¡£¡£¡£¡£¡£¡£ÐÎòÀëÉ¢Ç÷ÊÆµÄÖ÷Ҫͳ¼ÆÖ¸±êÓÐÈ«¾à£¨range£¬ £¬£¬£¬£¬£¬£¬R£©¡¢·½²î£¨variance£©¡¢±ê×¼²î£¨standard deviation£©¡¢±äÒìϵÊý£¨coefficient of variation£©µÈ¡£¡£¡£¡£¡£¡£
Ò»¡¢È«¾à
È«¾àÓֳƼ«²î£¬ £¬£¬£¬£¬£¬£¬ÒÔ·ûºÅRÌåÏÖ¡£¡£¡£¡£¡£¡£R¼´ÊÇÒ»¸ö±äÁ¿µÄËùÓÐÊÓ²ìÖµÖÐ×î´óÖµ£¨maximum£¬ £¬£¬£¬£¬£¬£¬Max£©Óë×îСֵ£¨miximum£¬ £¬£¬£¬£¬£¬£¬Max£©Ö®¼äµÄ²îÖµ¡£¡£¡£¡£¡£¡£ÅÌË㹫ʽΪ£¨3ª²6ª²8£©£ºR=Max-Max¡£¡£¡£¡£¡£¡£µ±ÅÌËã¼ÆÁ¿µ¥Î»ÏàͬµÄ±äÁ¿Ê±£¬ £¬£¬£¬£¬£¬£¬È«¾àÔ½´ó£¬ £¬£¬£¬£¬£¬£¬ÊÓ²ìÖµµÄÀëɢˮƽԽ´ó¡£¡£¡£¡£¡£¡£
ÈçÒ»×éÉÕÉ˲¡È˵Ä×î´óÉÕÉËÃæ»ýΪ90%TBSA£¬ £¬£¬£¬£¬£¬£¬×îÐ¡Ãæ»ýΪ10%TBSA£¬ £¬£¬£¬£¬£¬£¬°´¹«Ê½£¨3ª²6ª²8£©ÅÌË㣬 £¬£¬£¬£¬£¬£¬R=90-10=80%TBSA¡£¡£¡£¡£¡£¡£
¶þ¡¢·½²î
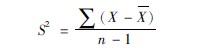
·½²îÊÇÀë¾ù²îƽ·½ºÍµÄƽ¾ùÖµ£¬ £¬£¬£¬£¬£¬£¬·½²îµÄ¾ÞϸֻÓëÊÓ²ìÖµÀëɢˮƽÓйأ¬ £¬£¬£¬£¬£¬£¬¶øÓëÊÓ²ìÖµ¸öÊýµÄ¼¸¶àÎ޹ء£¡£¡£¡£¡£¡£Ñù±¾·½²îÒÔ·ûºÅS2ÌåÏÖ£¬ £¬£¬£¬£¬£¬£¬ÊÇ×ÜÌå·½²îµÄÔ¤¼ÆÖµ£¬ £¬£¬£¬£¬£¬£¬°´¹«Ê½£¨3ª²6ª²9£©ÅÌË㣺

ʽÖÐ∑£¨X-X£©2ΪÀë¾ù²îƽ·½ºÍ£¬ £¬£¬£¬£¬£¬£¬ n-1Ϊ×ÔÓɶȣ¨n′£©¡£¡£¡£¡£¡£¡£Òò×ÜÌå·½²î²»Ò×»ñµÃ£¬ £¬£¬£¬£¬£¬£¬ÏÖʵÊÂÇéÖг£ÓÃÑù±¾·½²î×÷Ϊ×ÜÌå·½²îµÄÔ¤¼Æ¡£¡£¡£¡£¡£¡£
·½²î¶àÓÃÓÚ·½²îÆÊÎö»òÁ½¸öÑù±¾±ê×¼²îºÏ²¢ÅÌËãÖ®Óᣡ£¡£¡£¡£¡£Èç¼××é25ÈË£¬ £¬£¬£¬£¬£¬£¬±ê×¼²îΪ2ª±8£¬ £¬£¬£¬£¬£¬£¬ÒÒ×é46ÈË£¬ £¬£¬£¬£¬£¬£¬±ê×¼²îΪ2ª±2£¬ £¬£¬£¬£¬£¬£¬Á½×éºÏ²¢±ê×¼²î¹«Ê½Îª£¨3ª²6ª²9£©£º

Èý¡¢ ±ê×¼²î
ƾ֤ÉÏÊö¿´·¨£¬ £¬£¬£¬£¬£¬£¬È«¾àϵָһ×é±äÁ¿ÖµÖÐ×î´óÖµÓë×îСֵµÄ²î£»£»£»£»£»±ê×¼²îÔòÌåÏÖÕâÒ»×é±äÁ¿ÖµÂþÑܵÄÀëɢˮƽ¡£¡£¡£¡£¡£¡£Îª½øÒ»²½ËµÃ÷ÆäÀëɢˮƽ£¬ £¬£¬£¬£¬£¬£¬ÊÔ¿´ÏÂÃæÕâÁ½×éÊý¾Ý£º
A×飺80¡¢90¡¢100¡¢110¡¢120£¨Æ½¾ùÊý=100£©
B×飺98¡¢99¡¢100¡¢101¡¢102£¨Æ½¾ùÊý=100£©
ÕâÁ½×éÊýÖµµÄ¾ùÊý¶¼ÊÇ100£¬ £¬£¬£¬£¬£¬£¬¿ÉÊDZäÁ¿ÖµµÄ²¨¶¯¹æÄ£È´Óкܴó²î±ð£¬ £¬£¬£¬£¬£¬£¬A×éÊý¾Ý×î´óÖµÓë×îСֵ֮²î£¨È«¾à£©Îª40(120¡«80)£¬ £¬£¬£¬£¬£¬£¬B×éÊý¾Ý×î´óÖµÓë×îСֵ֮²î£¨È«¾à£©Îª4(102¡«98)¡£¡£¡£¡£¡£¡£Óɴ˿ɼû£¬ £¬£¬£¬£¬£¬£¬A×éÊý¾ÝµÄ²¨¶¯¹æÄ£±ÈB×é´óµÃ¶à¡£¡£¡£¡£¡£¡£¹Ê¾ùÊý²»¿ÉÍêȫ˵Ã÷ÊÂÎïÄÚ²¿µÄʵÖÊ£¬ £¬£¬£¬£¬£¬£¬ÐèÒªÓñê×¼²îÀ´×ÛºÏÆÊÎö¡£¡£¡£¡£¡£¡£ÏÖÔÚÒÔΪ·´Ó¦Êý¾Ý׼ȷ¶È½ÏΪÍêÉÆµÄÖ¸±ê¾ÍÊDZê×¼²î¡£¡£¡£¡£¡£¡£
ÓÖÈ磺¼××é5Àý²¡È˵ÄÉÕÉË×ÜÃæ»ý»®·ÖΪ90%¡¢80%¡¢70%¡¢21%¡¢9%TBSA£¬ £¬£¬£¬£¬£¬£¬Æ½¾ùΪ54%TBSA£»£»£»£»£»ÒÒ×é5Àý²¡È˵ÄÉÕÉË×ÜÃæ»ý»®·ÖΪ100%¡¢49%¡¢49%¡¢36%¡¢36%TBSA£¬ £¬£¬£¬£¬£¬£¬Æ½¾ùֵҲΪ54%TBSA£¬ £¬£¬£¬£¬£¬£¬µ«¼××éÌØÖØ¶È²¡ÈËÓÐ3Àý£¬ £¬£¬£¬£¬£¬£¬ÒÒ×é½öÓÐ1Àý¡£¡£¡£¡£¡£¡£Á½×é¾ùÖµËäÈ»ÏàµÈ£¬ £¬£¬£¬£¬£¬£¬µ«²¢ÎÞͬÖÊÐԺͿɱÈÐÔ£¬ £¬£¬£¬£¬£¬£¬Í¬Ê±Ò²¿É¿´³ö±ê×¼²îµÄÖ÷ÒªÐÔ¡£¡£¡£¡£¡£¡£ÓÉÓÚ±ê×¼²îÊÇÒ»¸ö¸öÌåÊý¾ÝÎÞÒâÐÔ²¨¶¯¾ÞϸµÄ±ê×¼±ê×¼£¬ £¬£¬£¬£¬£¬£¬±ê×¼²î´ó£¬ £¬£¬£¬£¬£¬£¬ÌåÏÖ¸öÌåÊý¾Ý²¨¶¯ÐÔ´ó£¬ £¬£¬£¬£¬£¬£¬±ê×¼²îС£¡£¡£¡£¡£¡£¬ £¬£¬£¬£¬£¬£¬ÌåÏÖ¸öÌåÊý¾Ý²¨¶¯ÐÔС¡£¡£¡£¡£¡£¡£
ËÄ¡¢±ê×¼²îÅÌËã
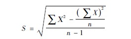
1ª±Ö±½ÓÅÌË㹫ʽ£¨3ª²6ª²10£©£º

SΪ±ê×¼²î£¬ £¬£¬£¬£¬£¬£¬∑Χ2Ϊ±äÁ¿ÖµÆ½·½ºóµÄºÍ£¬ £¬£¬£¬£¬£¬£¬£¨∑x£©2ÊDZäÁ¿Öµ×ܺͺóµÄƽ·½£¬ £¬£¬£¬£¬£¬£¬nΪ±äÁ¿¸öÊý¡£¡£¡£¡£¡£¡£
ʾÀý3ª²6ª²5£º²âµÃ9Àý´´Ãæ³öѪ²¡È˵ÄѪС°åÊýÄ¿»®·ÖΪ£º30¡¢50¡¢40¡¢40¡¢50¡¢40¡¢30¡¢50¡¢149£¨×109/L£©£¬ £¬£¬£¬£¬£¬£¬ÇóËüÃǵıê×¼²î¡£¡£¡£¡£¡£¡£
¡¾½âÌâ°ì·¨¡¿
ÏÈ»®·ÖÇó³ö¹«Ê½£¨3ª²6ª²10£©ÖеÄ∑Χ2ºÍ£¨∑Χ£©2/n£¬ £¬£¬£¬£¬£¬£¬¼°n-1Öµ£¬ £¬£¬£¬£¬£¬£¬È»×ÓÅ®È빫ʽ¡£¡£¡£¡£¡£¡£
ÓÉÓÚ∑Χ2Ϊ±äÁ¿ÖµÆ½·½ºóµÄºÍ£¬ £¬£¬£¬£¬£¬£¬¼´£º
∑Χ2=302+502+402+402+502+402+302+502+1492=36301
£Û£¨∑Χ£©2£Ý/n=£¨30+50+40+40+50+40+30+50+149£©2/9=25493ª±4
£¨n-1£©Îª£¨9-1£©=8
´úÈ빫ʽ£¨3ª²6ª²10£©£¬ £¬£¬£¬£¬£¬£¬µÃ£º

´ð£º9Àý´´Ãæ³öѪ²¡È˵ÄѪС°å±ê×¼²îΪ36ª±755×109/L¡£¡£¡£¡£¡£¡£
2ª±´óÑù±¾¼ÓȨ·¨¹«Ê½
ÅÌËã´óÑù±¾×ÊÁÏ£¬ £¬£¬£¬£¬£¬£¬Ó¦»æÖÆÆµÊý±í×ÊÁÏ£¬ £¬£¬£¬£¬£¬£¬Æ¾Ö¤¹«Ê½£¨3ª²6ª²11£©ÅÌËã±ê×¼²î£º

ʽÖÐ∑fXΪ¸÷×é¶ÎXÓë±¾×é¶ÎƵÊý³Ë»ýÖ®ºÍ£¬ £¬£¬£¬£¬£¬£¬∑fΧ2Ϊ¸÷×é¶ÎfxÓë±¾×é¶ÎX³Ë»ýÖ®ºÍ¡£¡£¡£¡£¡£¡£
ʾÀý3ª²6ª²6ÈÔÒÔÀý3ª²6ª²2ΪÀý£¬ £¬£¬£¬£¬£¬£¬¼´Ä³ÔºÊÓ²ìÁË110ÀýÌØÖØ¶ÈÉÕÉ˲¡È˵ÄѪҺѪºìÂѰ׺¬Á¿£¬ £¬£¬£¬£¬£¬£¬ÆäŨ¶È¹æÄ£ÔÚ115¡«150 g/LÖ®¼ä£¬ £¬£¬£¬£¬£¬£¬ÇóÆä±ê×¼²î¡£¡£¡£¡£¡£¡£
¡¾½âÌâ°ì·¨¡¿
ƾ֤±í3ª²6ª²2ÖÐÌṩµÄÊý¾Ý£¬ £¬£¬£¬£¬£¬£¬½«(∑f)=110¡¢(∑fX)=13194¡¢(∑fΧ2)=1584990´úÈ빫ʽ£¨3ª²6ª²11£©£¬ £¬£¬£¬£¬£¬£¬µÃ£º

Ч¹û£º110ÀýÉÕÉ˲¡È˵ÄѪºìÂѰױê×¼²îΪ4ª±72g/L¡£¡£¡£¡£¡£¡£
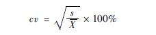
Îå¡¢±äÒìϵÊý
ÔÚͳ¼ÆÑ§ÉϽ«±äÁ¿Öµ¼äµÄ²î±ð³ÆÎª±äÒ죬 £¬£¬£¬£¬£¬£¬Åú×¢ÕâÖÖ±äÒìµÄÖ¸±êÓÐÈ«¾à¡¢±ê×¼²îºÍ±äÒìϵÊý¡£¡£¡£¡£¡£¡£ÈçÉÏËùÊö£¬ £¬£¬£¬£¬£¬£¬±ê×¼²îµÄ×÷ÓÃÊÇÓÃÀ´È·¶¨Á½×éÊý¾ÝµÄ²¨¶¯Ë®Æ½£¬ £¬£¬£¬£¬£¬£¬Ò»Ñùƽ³£ÇéÐÎÏ£¬ £¬£¬£¬£¬£¬£¬ÄÄÒ»¸ö±ê×¼²î´ó£¬ £¬£¬£¬£¬£¬£¬ÄÄÒ»×éµÄÊý¾Ý²¨¶¯¹æÄ£Ò²´ó£»£»£»£»£»ÄÄÒ»¸ö±ê×¼²îС£¡£¡£¡£¡£¡£¬ £¬£¬£¬£¬£¬£¬Æä²¨¶¯¹æÄ£Ò²Ð¡¡£¡£¡£¡£¡£¡£¿ÉÊÇ£¬ £¬£¬£¬£¬£¬£¬µ±½ÏÁ¿²î±ðÀàÐ͵ÄÊý¾Ýʱ£¬ £¬£¬£¬£¬£¬£¬ÈçÉí³¤ÓëÌåÖØ£¬ £¬£¬£¬£¬£¬£¬»òÁ½¸öƽ¾ùÊýÏà²î½Ï´óʱ£¬ £¬£¬£¬£¬£¬£¬ÈôÖ±½ÓÓñê×¼²îÅжÏËüÃǵIJ¨¶¯Ë®Æ½¾Í²»Îȵ±ÁË£¬ £¬£¬£¬£¬£¬£¬ÓÉÓÚ±ê×¼²îÖ»ÄÜ·´Ó¦¾ø¶Ô²¨¶¯´óС£¡£¡£¡£¡£¡£¬ £¬£¬£¬£¬£¬£¬²»¿É·´Ó¦Ïà¶Ô²¨¶¯¾Þϸ¡£¡£¡£¡£¡£¡£ÕâÖÖ±í´ïÏà¶ÔÊý²¨¶¯¾ÞϸµÄÖ¸Êý³ÆÎª±äÒìϵÊý£¬ £¬£¬£¬£¬£¬£¬ÓÃcv»òνÌåÏÖ¡£¡£¡£¡£¡£¡£¸ÃÖ¸±êÒ²¿ÉÃ÷ȷΪÓðٷֱÈÌåÏֵıê×¼²î£¬ £¬£¬£¬£¬£¬£¬¼´±ê×¼²î£¨s£©Óë¾ùÊý£¨X£©Ö®±È¡£¡£¡£¡£¡£¡£Æä¹«Ê½Îª£¨3ª²6ª²12£©£º

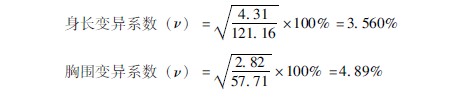
ʾÀý3ª²6ª²7ijԺÊÓ²ìÁË7ËêÄк¢Éí¸ß¾ùÊýΪ121ª±16cm£¬ £¬£¬£¬£¬£¬£¬±ê×¼²îΪ4ª±31cm£¬ £¬£¬£¬£¬£¬£¬ÐØÎ§¾ùÊý57ª±71cm£¬ £¬£¬£¬£¬£¬£¬±ê×¼²îΪ2ª±82cm¡£¡£¡£¡£¡£¡£½ÏÁ¿Á½ÕߵıäÒìˮƽ¡£¡£¡£¡£¡£¡£
¡¾½âÌâ°ì·¨¡¿
ƾ֤¹«Ê½£¨3ª²6ª²12£©£¬ £¬£¬£¬£¬£¬£¬»®·ÖÇóÉí³¤±äÒìϵÊýºÍÐØÎ§±äÒìϵÊý£º

´ð£º±¾ÀýÉí³¤¾ùÊýÏÔ×Å´óÓÚÐØÎ§¾ùÊý£¬ £¬£¬£¬£¬£¬£¬ÈôÓë±ê×¼²îÖ±½Ó½ÏÁ¿£¬ £¬£¬£¬£¬£¬£¬ÐØÎ§µÄ±äÒìϵÊýËÆºõСÓÚÉí³¤£¬ £¬£¬£¬£¬£¬£¬µ«¾­ÓɱäÒìϵÊýÅÌË㣬 £¬£¬£¬£¬£¬£¬½áÂÛÎªÐØÎ§µÄ±äÒìˮƽ²¢²»±ÈÉí³¤±äÒìˮƽС¡£¡£¡£¡£¡£¡£Óɴ˿ɼû£¬ £¬£¬£¬£¬£¬£¬Éí³¤µÄ±äÒìˮƽ±ÈÐØÎ§ÎȹÌ¡£¡£¡£¡£¡£¡£
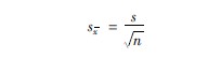
Áù¡¢±ê×¼Îó
ÓÉÓÚ¾ùÊýµÄ±ê×¼ÎóÓëÑù±¾±ê×¼²îÏàËÆ£¬ £¬£¬£¬£¬£¬£¬¶¼ÊÇ˵Ã÷ÀëɢˮƽµÄÖ¸±ê£¬ £¬£¬£¬£¬£¬£¬¹ÊÔÚ´Ë×÷Ò»ÏÈÈÝ¡£¡£¡£¡£¡£¡£±äÒìϵÊý¾ùÊý±ê×¼ÎóÓÐÁ½ÖÖ£¬ £¬£¬£¬£¬£¬£¬Ò»ÖÖÊÇ×ÜÌå±ê×¼Îó£¬ £¬£¬£¬£¬£¬£¬Ò»ÖÖÊÇÑù±¾±ê×¼Î󡣡£¡£¡£¡£¡£×ÜÌå±ê×¼Îó£¨σx£©ºÍÑù±¾±ê×¼Îó£¨sx¡¢Sª±E¡¢SEM£©ÊÇÌåÏÖ¾ùÊýÎó²îˮƽµÄÖ¸±ê¡£¡£¡£¡£¡£¡£ÔÚҽѧÑо¿ÖУ¬ £¬£¬£¬£¬£¬£¬³£ÔÚ×ÜÌåÖгé³öÒ»²¿·Ö×÷ΪÑù±¾£¬ £¬£¬£¬£¬£¬£¬È»ºóÔÙÆ¾Ö¤Ñù±¾µÄÊÓ²ìЧ¹ûÍÆÂÛ×ÜÌåÇéÐΡ£¡£¡£¡£¡£¡£¿ÉÊÇ£¬ £¬£¬£¬£¬£¬£¬ÓÉÓÚÔÚͳһ×ÜÌåÖеĸöÌåÖ®¼äÒ»¶¨±£´æ×Ųî±ð£¨ÓÌÈçÊÇ50%TBSAÉÕÉË£©£¬ £¬£¬£¬£¬£¬£¬Ñù±¾¾ùÊýÓë×ÜÌå¾ùÊýÖ®¼ä±£´æ²î±ð£¬ £¬£¬£¬£¬£¬£¬¸÷¸öÑù±¾¾ùÊýÖ®¼äÒ»¶¨±¬·¢²î±ð£¬ £¬£¬£¬£¬£¬£¬Î½Ö®±ê×¼Îó£¨sx£©£¬ £¬£¬£¬£¬£¬£¬ÊÇÓɳéÑùÒýÆðµÄ¡£¡£¡£¡£¡£¡£±ê×¼ÎóԽС£¡£¡£¡£¡£¡£¬ £¬£¬£¬£¬£¬£¬ËµÃ÷Ñù±¾¾ùÊýÓë×ÜÌå¾ùÊýÔ½¿¿½ü£¬ £¬£¬£¬£¬£¬£¬ÓÃÑù±¾¾ùÊýÍÆÂÛ×ÜÌå¾ùÊýµÄ¿ÉÄÜÐÔÔ½´ó£»£»£»£»£»·´Ö®£¬ £¬£¬£¬£¬£¬£¬±ê×¼ÎóÔ½´ó£¬ £¬£¬£¬£¬£¬£¬ËµÃ÷ÓÃÑù±¾¾ùÊýÍÆÂÛ×ÜÌå¾ùÊýµÄ¿ÉÄÜÐÔԽС¡£¡£¡£¡£¡£¡£¹Ê¾ùÊý±ê×¼ÎóÊDzⶨÑù±¾¾ùÊý±äÒì¹æÄ£µÄ±ê×¼¡£¡£¡£¡£¡£¡£ÔÚҽѧ×ÊÁÏÖУ¬ £¬£¬£¬£¬£¬£¬³£ÓÃÑù±¾¾ùÊý±±ê×¼ÎóµÄÐÎʽ£¨x±sx£©ÌåÏÖ×ÊÁϵĿɿ¿Ë®Æ½¡£¡£¡£¡£¡£¡£Ò»Ñùƽ³£À´Ëµ£¬ £¬£¬£¬£¬£¬£¬ÔÚx±1×sxµÄ¹æÄ£ÄÚ£¬ £¬£¬£¬£¬£¬£¬×ÜÌå¾ùÊý·ºÆðµÄ¸ÅÂÊΪ68ª±3%£»£»£»£»£»ÔÚx±2×sxµÄ¹æÄ£ÄÚ£¬ £¬£¬£¬£¬£¬£¬×ÜÌå¾ùÊý·ºÆðµÄ¸ÅÂÊΪ95%£¬ £¬£¬£¬£¬£¬£¬»òÕß˵ÓÐ95%ÒÔÉϵÄÕÆÎÕ¿ÉÒÔΪ×ÜÌå¾ùÊýÔÚÕâ¸ö¹æÄ£Ö®ÄÚ£¬ £¬£¬£¬£¬£¬£¬Ò²¿ÉÒÔÎªÖØ¸´Í¬ÑùʵÑé100´Î£¬ £¬£¬£¬£¬£¬£¬µÃ³ö100¸ö¾ùÊý£¬ £¬£¬£¬£¬£¬£¬»áÓÐ95%ÒÔÉϵľùÊýÂþÑÜÔÚx±2×sxµÄ¹æÄ£ÄÚ¡£¡£¡£¡£¡£¡£¹«Ê½£¨3ª²6ª²13£©Îª£º

sxΪ±ê×¼Îó£¬ £¬£¬£¬£¬£¬£¬sΪÑù±¾±ê×¼²î£¬ £¬£¬£¬£¬£¬£¬nΪÑù±¾¸öÊý¡£¡£¡£¡£¡£¡£
ʾÀý3ª²6ª²8ijԺ³é²éÁË100Àý²¡È˵ÄѪҺºìϸ°ûÊýÄ¿£¬ £¬£¬£¬£¬£¬£¬ÆäÑù±¾¾ùֵΪ50×109/L£¬ £¬£¬£¬£¬£¬£¬Ñù±¾±ê×¼²îΪ2ª±46×109/L£¬ £¬£¬£¬£¬£¬£¬ÇóÆä±ê×¼Î󡣡£¡£¡£¡£¡£
¡¾½âÌâ°ì·¨¡¿
ƾ֤¹«Ê½£¨3ª²6ª²13£©£¬ £¬£¬£¬£¬£¬£¬ÇóµÃ£º

´ð£º±¾ÀýÑù±¾±ê×¼ÎóΪ0ª±246£¨×109/L£©£¬ £¬£¬£¬£¬£¬£¬×ÊÁϵĿɿ¿Ë®Æ½Îª50±0ª±246£¨×109/L£©¡£¡£¡£¡£¡£¡£
Æß¡¢Æ½¾ùÊý¡¢±ê×¼²î¡¢±ê×¼ÎóµÄÓ¦ÓÃ
1ª±ÌåÏÖÕý¹ßÀýÄ£ÈçÌåΡ¢Âö²«£¬ £¬£¬£¬£¬£¬£¬ÑªÑ¹£¬ £¬£¬£¬£¬£¬£¬ºìϸ°û£¬ £¬£¬£¬£¬£¬£¬°×ϸ°ûµÈÕý³£ÖµµÈÅÌËã¾ùÐèÒª±ê×¼²îµÄ¼ÓÈë¡£¡£¡£¡£¡£¡£Õý³£Öµ¹æÄ£Ò»Ñùƽ³£ÊÇÒÔÆ½¾ùÊý±2¸ö±ê×¼²î×÷Ϊ»®¶¨½çÏߣ¬ £¬£¬£¬£¬£¬£¬ÏÖÒÔºìϸ°ûΪÀý˵Ã÷Õâ¸öÎÊÌâ¡£¡£¡£¡£¡£¡£ÈçÎÒÃÇËùÇóµÃµÄ¿µ½¡ÄÐ×Óºìϸ°ûƽ¾ùֵΪ50×109/L£¬ £¬£¬£¬£¬£¬£¬±ê×¼²îΪ2ª±5×109/L£¬ £¬£¬£¬£¬£¬£¬ÔòÕý³£ÄÐ×Óºìϸ°ûµÄÕý³£Öµ¿É¶¨Îª50±2×2ª±5£¬ £¬£¬£¬£¬£¬£¬¼´45×109/L¡«55×109/L¹æÄ£ÄÚ¡£¡£¡£¡£¡£¡£µ«Ó¦×¢ÖØ£¬ £¬£¬£¬£¬£¬£¬ÔÚÓ¦ÓôËÒªÁìʱ£¬ £¬£¬£¬£¬£¬£¬±äÁ¿µÄÂþÑܱØÐèÊÇÕý̬ÂþÑÜ£¬ £¬£¬£¬£¬£¬£¬ÈçÊôÓÚ·ÇÕý̬ÂþÑÜÕߣ¬ £¬£¬£¬£¬£¬£¬Ó¦½ÓÄÉÆäËûÒªÁìÅÌËã¡£¡£¡£¡£¡£¡£
2ª±Ô¤¼ÆÊÜÊÔ¹¤¾ßËùÐèÑù±¾Êý
£¨1£©Ê¹Óñê×¼Îó¹«Ê½ÍÆËãÑù±¾Êý£º
ʾÀý3ª²6ª²9ijҽԺ²â¶¨ÁË80ÃûÑÏÖØÉÕÉË»¼ÕßÔçÆÚѪҺ¼¡ôû£¨Cr£©º¬Á¿£¬ £¬£¬£¬£¬£¬£¬²â¶¨Ð§¹û£º¾ùÊý£¨x£©=154ª±8μmmol/L£¬ £¬£¬£¬£¬£¬£¬±ê×¼²î(s)=15ª±8μmmol/L £¬ £¬£¬£¬£¬£¬£¬±ê×¼Îó=1ª±778μmmol/L£¬ £¬£¬£¬£¬£¬£¬ ¼´ÏÖÔÚ95%µÄÖÃÐÅÏÞΪ154ª±8±3ª±54μmmol/L £¬ £¬£¬£¬£¬£¬£¬ÓûÇó95%µÄÖÃÐÅÏÞÔÚ158±2ª±0μmmol/LµÄ¹æÄ£ÄÚ£¬ £¬£¬£¬£¬£¬£¬ÐèÒªÊӲ켸¶àÀý²Å»ª·ºÆðÕâÖÖЧ¹û?
¡¾½âÌâ°ì·¨¡¿
¢Ùƾ֤±ê×¼ÎóÅÌË㹫ʽ(3ª²6ª²13)ÍÆËãÑù±¾Êý£¨n£©£¬ £¬£¬£¬£¬£¬£¬¹«Ê½Îª(3ª²6ª²14)£º

¢ÚÓÉÓÚ95%µÄÖÃÐÅÏÞΪx±2×sx£¬ £¬£¬£¬£¬£¬£¬½ñÇó2×sx=2ª±0£¬ £¬£¬£¬£¬£¬£¬¼´sx=1ª±0¡£¡£¡£¡£¡£¡£°ÑÓйØÊý¾Ý´úÈ빫ʽ£¨3ª²6ª²14£©£¬ £¬£¬£¬£¬£¬£¬µÃ£º

¢Û½áÂÛ£ºÈô°ÑÊÓ²ìÈËÊýÔöÌíµ½250ÈË£¬ £¬£¬£¬£¬£¬£¬¿ÉÄÜʹÖÃÐÅÏÞ¹æÄ£µÖ´ï154ª±8±2ª±0μmol/L ¡£¡£¡£¡£¡£¡£
£¨2£©Ê¹ÓÃÁ½ºÏ²¢±ê×¼²îÍÆËãÑù±¾Êý£º
ʾÀý3ª²5ª²10ijҽÉúÓÃijҩÖÎÁÆÁ£Ï¸°ûïÔÌ­Ö¢£¬ £¬£¬£¬£¬£¬£¬ÎªÊÓ²ìijҩÎïÓÿڷþÒªÁì¼°¼¡Èâ×¢ÉäÒªÁì¶Ô×î¸ßÁÆÐ§·ºÆðʱ¼ä(Ìì)µÄÓ°Ïì¡£¡£¡£¡£¡£¡£Æ¾Ö¤×¼±¸ÊÔÑéЧ¹û£¬ £¬£¬£¬£¬£¬£¬¿Ú³Ô·¨×î¸ßÁÆÐ§·ºÆðµÄƽ¾ùʱ¼äΪ22ª±2Ì죬 £¬£¬£¬£¬£¬£¬¼¡Èâ×¢É䷨Ϊ17ª±5Ì죬 £¬£¬£¬£¬£¬£¬ºÏ²¢±ê×¼²î(s)Ϊ13ª±91Ìì¡£¡£¡£¡£¡£¡£Îʸ÷×éÐèÊӲ켸¶àÀý²Å»ªÊ¹Á½×é¾ùÊýµÄ²î±ðÓÐÏÔÖøÒâÒå?   
¡¾½âÌâ°ì·¨¡¿
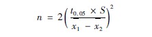
¢Ù±¾ÀýÊÇÁ½¸öÑù±¾Æ½¾ùÊý×÷½ÏÁ¿µÄ×ÊÁÏ£¬ £¬£¬£¬£¬£¬£¬µ±Á½×éÑùÄÚÇéµÈʱ£¬ £¬£¬£¬£¬£¬£¬ÆäÑù±¾¾ÞϸµÄÔ¤¼Æ¹«Ê½Îª£¨3ª²6ª²15£©£º

 n=ÿ×éÀýÊý£¬ £¬£¬£¬£¬£¬£¬t0ª±05=±íÖвé³öµÄ±ê×¼Öµ£¬ £¬£¬£¬£¬£¬£¬s=ºÏ²¢±ê×¼²î£¬ £¬£¬£¬£¬£¬£¬x1-x2=Á½×é¾ùÊý²î¡£¡£¡£¡£¡£¡£
¢Úµ±n≥30ʱ£¬ £¬£¬£¬£¬£¬£¬²é±íµÃ³öt0ª±05=2ª±0£¬ £¬£¬£¬£¬£¬£¬Òòx1-x2=4ª±75£¬ £¬£¬£¬£¬£¬£¬s=13ª±91£¬ £¬£¬£¬£¬£¬£¬´úÈ빫ʽ£¨3ª²6ª²15£©£º

¢Û½áÂÛ£ºÃ¿×éÐèÒªÊÓ²ì69Àý²Å»ªÊ¹Á½×é¾ùÊý²î±ðÓÐÏÔÖøÒâÒå¡£¡£¡£¡£¡£¡£

ÍøÕ¾µØÍ¼