NGÏàÐÅÆ·ÅƵÄÁ¦Á¿¹ÙÍø

English NGÏàÐÅÆ·ÅƵÄÁ¦Á¿¹ÙÍø¼¯ÍÅÆóÒµÓÊÏä

µÚ¶þ½Ú Ñù±¾¾ùÊýÓë×ÜÌå¾ùÊýµÄtÄ¥Á·

×÷ÕߣºÐìÈÙÏé ³öÊéÉ磺Öйú¿ÆÑ§ÊÖÒÕ³öÊéÉç ¿¯ÐÐÈÕÆÚ£º2009Äê7ÔÂ

ÔÚÁÙ´²Óë¿ÆÑÐÊÂÇéÖУ¬ £¬£¬£¬£¬¾­³£Óöµ½Á½¸öÑù±¾¾ùÊýµÄ½ÏÁ¿ÎÊÌ⣬ £¬£¬£¬£¬ÀýÈ磬 £¬£¬£¬£¬²¡ÈËÓ뿵½¡È˺ìϸ°ûƽ¾ùÊýµÄ½ÏÁ¿£¬ £¬£¬£¬£¬Í¬ÖÖ²¡ÈËÖÎÁÆÇ°ºóѪѹƽ¾ùÊýµÄ½ÏÁ¿µÈ¡£¡£¡£¡£¡£¡£¡£Á½¸ö¾ùÊýÖ®¼ä×ÜÊÇÓвî±ðµÄ£¬ £¬£¬£¬£¬ÍêȫһÑùµÄÇéÐκÜÉÙ£¬ £¬£¬£¬£¬ÎÊÌâÊÇÎÒÃÇÓ¦ÖªµÀÕâÖÖ²î±ðÓÐÎÞÒâÒ壬 £¬£¬£¬£¬tÄ¥Á·»òuÄ¥Á·¾ÍÊÇȨºâÕâÖÖ²î±ðÓÐÎÞÒâÒåµÄÖ÷ÒªÒªÁì¡£¡£¡£¡£¡£¡£¡£»£»£»£»£»£»£»òÕß˵tÄ¥Á·ÊÇÆ¾Ö¤tÂþÑܵļÍÂÉÀ´¾ÙÐеÄÁ½¸ö¾ùÊý²î±ðµÄÏÔÖøÐÔÄ¥Á·£¬ £¬£¬£¬£¬ÊÇÖ¸Ñù±¾¾ùÊýÓë×ÜÌå¾ùÊýµÄ²îÊý(-u)Ï൱ÓÚ±ê×¼Îó(sx)µÄ¼¸¶à±¶¡£¡£¡£¡£¡£¡£¡£Æä¹«Ê½Îª£º

ƾ֤´ó×ÚÊÓ²ìЧ¹û£¬ £¬£¬£¬£¬»òÒÔÍù¶à´ÎʵÑéЧ¹û»òÂÄÀú£¬ £¬£¬£¬£¬¿É½«ÒÑ֪ijÊÂÎïµÄ¾ùÊý(ÈçÐÄÀíÕý³£Öµ)×÷Ϊ×ÜÌå¾ùÊý¿´´ý¡£¡£¡£¡£¡£¡£¡£´Ëʱ¿ÉÓÃÏÂÊöÒªÁìÀ´Ä¥Á·Ñù±¾¾ùÊýÓë×ÜÌå¾ùÊý²î±ðµÄÏÔÖøÐÔ¡£¡£¡£¡£¡£¡£¡£ÏÖÒÔÏÂÀý˵Ã÷£º
ʾÀý3ª²7ª²3ÒÑÖªÕý³£³ÉÄêÈ˵ÄÂö²«Æ½¾ùÊýΪ72´Î/·Ö£¬ £¬£¬£¬£¬ÏÖijҽÉú²âµÃ10Àý´óÃæ»ýÉÕÉË»¼ÕßÔçÆÚµÄÂö²«Æ½¾ùΪ100´Î/·Ö£¬ £¬£¬£¬£¬±ê×¼²îΪ15ª±97´Î/·Ö£¬ £¬£¬£¬£¬ÎÊ´óÃæ»ý³ÉÄêÉÕÉË»¼ÕßÔçÆÚµÄƽ¾ùÂö²«ÓëÕý³£³ÉÈËÂö²«¾ùÊýÓÐÎÞÏÔÖøÐÔ²î±ð£¿£¿£¿ £¿£¿
¡¾Ä¥Á·°ì·¨¡¿
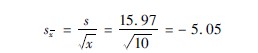
1ª±ÏÈÆ¾Ö¤±ê×¼Îó¹«Ê½£¨3ª²6ª²13£©ÅÌËã10Àý²¡ÈËÂö²«µÄ±ê×¼Îó£º

2ª±´úÈ빫ʽ£¨3ª²7ª²3£©£¬ £¬£¬£¬£¬µÃ£º

3ª±Æ¾Ö¤×ÔÓɶȾÞϸ£¬ £¬£¬£¬£¬²étÖµ±í(±¾Õ¸½±í3ª²7ª²1)£ºn′=n-1=10-1=9£¬ £¬£¬£¬£¬²éµÃtÖµµÄ0ª±05½çֵΪ2ª±262£¬ £¬£¬£¬£¬tÖµµÄ0ª±01½çֵΪ3ª±250£¬ £¬£¬£¬£¬ÏÖËãµÃtֵΪ5ª±545£¬ £¬£¬£¬£¬¼È´óÓÚ2ª±262£¬ £¬£¬£¬£¬Ò²´óÓÚ3ª±250£¬ £¬£¬£¬£¬¹Êt£¾t0ª±05£¾t0ª±01£¬ £¬£¬£¬£¬ËüµÄ¸ÅÂÊ(P)ÔÚt0ª±01Ö®ÉÏ£¬ £¬£¬£¬£¬¹ÊP£¼0ª±01£¬ £¬£¬£¬£¬Ïà²îºÜÊÇÏÔÖø¡£¡£¡£¡£¡£¡£¡£
4ª±ÅжϣºËµÃ÷´óÃæ»ý³ÉÈËÉÕÉË»¼Õߵį½¾ùÂö²«ÓëÕý³£³ÉÈËÆ½¾ùÂö²«ÓÐ×ÅʵÖʵÄÇø±ð£¬ £¬£¬£¬£¬ÔÚͳ¼ÆÉÏÓкÜÊÇÏÔÖøÒâÒå¡£¡£¡£¡£¡£¡£¡£

ÍøÕ¾µØÍ¼