NGÏàÐÅÆ·ÅƵÄÁ¦Á¿¹ÙÍø

English NGÏàÐÅÆ·ÅƵÄÁ¦Á¿¹ÙÍø¼¯ÍÅÆóÒµÓÊÏä

µÚÒ»½Ú ÌØ´óÃæ»ýÉÕÉ˲¡Àý(1)ÖÎÁƼͼ

×÷ÕߣºÐìÈÙÏé ³öÊéÉ磺Öйú¿ÆÑ§ÊÖÒÕ³öÊéÉç ¿¯ÐÐÈÕÆÚ£º2009Äê7ÔÂ

¼¯ÖÐÇ÷ÊÆ£¨central tendency£©Ö¸µÄÊÇÒ»¸ö¼ÆÁ¿×ÊÁÏÖÐËùÓÐÊÓ²ìÖµµÄÖÐÐÄλÖᣠ¡£¡£¡£¡£¡£ÐÎò¼¯ÖÐÇ÷ÊÆµÄÖ÷ÒªÖ¸±êÓÐËãÊõ¾ùÊý£¨arithmetic mean£©¡¢¼¸ºÎ¾ùÊý£¨geometric mean£¬£¬£¬£¬£¬£¬£¬G£©ºÍÖÐλÊý£¨median£¬£¬£¬£¬£¬£¬£¬M£©£¬£¬£¬£¬£¬£¬£¬ÕâЩָ±êÒ²³ÆÎ»Öû³±§Ö¸±ê£¨measerus of location£©¡£ ¡£¡£¡£¡£¡£
Ò»¡¢ËãÊõ¾ùÊý
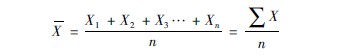
ƽ¾ùÖµÊÇÌåÏÖһȺÐÔ×ÓÏàͬ±äÁ¿ÖµµÄ¼¯ÖÐÇ÷ÊÆ»òƽ¾ùˮƽ¡£ ¡£¡£¡£¡£¡£ÀýÈ磬£¬£¬£¬£¬£¬£¬ÓûÏàʶijµØ³ÉÈËÄÐ×Óºìϸ°ûµÄÕý³£Ë®Æ½£¬£¬£¬£¬£¬£¬£¬ÈôÊÇÎÒÃÇÖ»²â¶¨Ò»Ð¡²¿·ÖÑù±¾£¨ÉÙÊýÈË£©£¬£¬£¬£¬£¬£¬£¬ÆäЧ¹ûÏÔÈ»²»¿É´ú±í×ÜÌåˮƽ£¬£¬£¬£¬£¬£¬£¬Ö»ÓÐÕÉÁ¿´ó×ڸõØÇø¿µ½¡ÄÐÐÔ»òÅ®ÐÔºìϸ°ûÊý£¬£¬£¬£¬£¬£¬£¬Çó³öÒ»¸öƽ¾ùÖµ£¬£¬£¬£¬£¬£¬£¬·½ÄܽÏÁ¿ÇкÏÏÖʵµÄ·´Ó¦³öÄÐÐÔ»òÅ®ÐÔѪҺºìϸ°ûµÄÕæÕæÏàÐΡ£ ¡£¡£¡£¡£¡£Òò´Ë£¬£¬£¬£¬£¬£¬£¬Æ½¾ùÊýÓ¦¾ßÓÐÁ½¸ö»ù±¾ÌØÕ÷£ºÒ»¸öÊÇÓ¦µ±ÓÐһȺ´óµÄÑù±¾ÊýÄ¿£¬£¬£¬£¬£¬£¬£¬µÚ¶þ¸öÊǾßÓÐͬÐÔ×Ó¡£ ¡£¡£¡£¡£¡£ÓÃÂí¿Ë˼µÄ»°À´Ú¹ÊÍ£¬£¬£¬£¬£¬£¬£¬“ƽ¾ùÁ¿Ö»ÊÇÖÖÀàÏàͬµÄÐí¶à²î±ðµÄ¸öÌåÁ¿µÄƽ¾ù”¡£ ¡£¡£¡£¡£¡£ÈôÊDz»Ë¼Á¿ÐÔ×ÓÏàͬÕâÒ»Ìõ¼þ£¬£¬£¬£¬£¬£¬£¬Ã¤Ä¿ÅÌËã±äÁ¿ÖµµÄƽ¾ùÊý£¬£¬£¬£¬£¬£¬£¬²»µ«²»¿É׼ȷ˵Ã÷±»Ñо¿ÊÂÎïµÄÕæÏ࣬£¬£¬£¬£¬£¬£¬Ïà·´»¹»áµ¼Ö¹ýʧµÄ½áÂÛ¡£ ¡£¡£¡£¡£¡£Æ½¾ùÖµµÄÅÌËãÒªÁ죺
£¨Ò»£©Ö±½ÓÅÌËã·¨
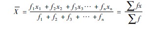
Ö±½ÓÅÌËã·¨Ò²³ÆËãÊõ¾ùÊý£¬£¬£¬£¬£¬£¬£¬ÊÊÓÃÓÚСÑù±¾¾ùÊýÅÌËã¡£ ¡£¡£¡£¡£¡£¹«Ê½£¨3ª²6ª²1£©Îª£º

XΪƽ¾ùÊý£¬£¬£¬£¬£¬£¬£¬xΪ±äÁ¿Êý£¬£¬£¬£¬£¬£¬£¬nΪ±äÁ¿ÖµµÄ¸öÊý£¬£¬£¬£¬£¬£¬£¬∑ÌåÏÖ×ܺ͵ķûºÅ£¬£¬£¬£¬£¬£¬£¬∑xΪ¸÷±äÁ¿µÄ×ܺÍ¡£ ¡£¡£¡£¡£¡£
ʾÀý3ª²6ª²1ijҽÉúÕÉÁ¿ÁË10ÀýС¶ùÉÕÉË»¼ÕßµÄÌåÖØ»®·ÖΪ£º10¡¢12¡¢14¡¢15¡¢24¡¢17¡¢33¡¢35¡¢28¡¢35kg£¬£¬£¬£¬£¬£¬£¬ÇóËûÃÇµÄÆ½¾ùÌåÖØ£¿£¿£¿£¿£¿£¿£¿£¿
¡¾½â¡¿Æ¾Ö¤¹«Ê½£¨3ª²6ª²1£©£¬£¬£¬£¬£¬£¬£¬ÅÌËãÈçÏ£º

´ð£ºËûÃÇµÄÆ½¾ùÌåÖØÎª22ª±3kg¡£ ¡£¡£¡£¡£¡£
£¨¶þ£©¼ÓȨ·¨
Ò²ÊôÓÚËãÊõ¾ùÊý£¬£¬£¬£¬£¬£¬£¬ÊÊÓÃÓÚ´óÑù±¾¾ùÊýÅÌËã¡£ ¡£¡£¡£¡£¡£¹«Ê½£¨3ª²6ª²2£©Îª£º

ʽÖÐX1£¬£¬£¬£¬£¬£¬£¬X2£¬£¬£¬£¬£¬£¬£¬X3£¬£¬£¬£¬£¬£¬£¬…Xn»®·ÖΪ¸÷×é¶ÎµÄ×éÖÐÖµ£¬£¬£¬£¬£¬£¬£¬¼´±¾×é¶ÎµÄÏÂÏÞÓëÏàÁڽϴó×é¶ÎµÄÏÂÏÞÏà¼Ó³ýÒÔ2£¬£¬£¬£¬£¬£¬£¬ÈçÏÂÀý£¨±í3ª²6ª²1£©ÖГ108~”×é¶ÎµÄ×éÖÐÖµX1=£¨108+110£©/2=109£¬£¬£¬£¬£¬£¬£¬ÓàÀàÍÆ¡£ ¡£¡£¡£¡£¡£ÕâÀïµÄfÆðµ½Á˓ȨÊý”µÄ×÷Ó㬣¬£¬£¬£¬£¬£¬ËüȨºâÁ˸÷×éÖÐÖµÓÉÓÚÆµÊý²î±ð¶Ô¾ùÊýµÄÓ°Ïì¡£ ¡£¡£¡£¡£¡£¼´ÆµÊý¶à£¬£¬£¬£¬£¬£¬£¬È¨Êý´ó£»£»£» £»£»£»£»ÆµÊýÉÙ £¬£¬£¬£¬£¬£¬£¬È¨ÊýС£¬£¬£¬£¬£¬£¬£¬×÷ÓÃҲС¡£ ¡£¡£¡£¡£¡£Òò´Ë£¬£¬£¬£¬£¬£¬£¬±¾·¨³ÆÎª¼ÓȨ·¨¡£ ¡£¡£¡£¡£¡£
×éÖÐÖµÅÌË㹫ʽ£¨3ª²6ª²3£©Îª£º

ʾÀý3ª²6ª²2ijҽԺ²â¼ìÁË110ÀýÌØÖØ¶ÈÉÕÉ˲¡ÈËѪҺѪºìÂѰ׺¬Á¿£¬£¬£¬£¬£¬£¬£¬ÆäŨ¶È¹æÄ£ÔÚ115¡«150g/LÖ®¼ä£¬£¬£¬£¬£¬£¬£¬ÆµÊýÂþÑÜÇéÐμû±í3ª²6ª²1£¬£¬£¬£¬£¬£¬£¬Ê¹ÓÃ×éÖÐÖµÒªÁìÅÌËãËûÃÇµÄÆ½¾ùѪºìÂѰ×Ũ¶È¡£ ¡£¡£¡£¡£¡£

¡¾½âÌâ°ì·¨¡¿
1ª±Æ¾Ö¤110Àý²¡È˵ļì²âЧ¹û£¬£¬£¬£¬£¬£¬£¬ÒÔ2g/L²î¶î»®·ÖÆ·¼¶£¬£¬£¬£¬£¬£¬£¬¼´×é±ðÒÀ´ÎΪ£º108¡¢110¡¢112¡¢…132µÈ13¸öÆ·¼¶¡£ ¡£¡£¡£¡£¡£
2ª±½«ËùÔÚÆ·¼¶¹æÄ£ÄÚµÄÀýÊý×÷ΪƵÊý£¬£¬£¬£¬£¬£¬£¬ÈçÔÚ108¡«110Ö®ÄÚÕß¹²1Àý£¬£¬£¬£¬£¬£¬£¬ÆäƵÊýΪ1¡£ ¡£¡£¡£¡£¡£
3ª±Æ¾Ö¤¹«Ê½3ª²6ª²3ÅÌËã×éÖÐÖµ£ºÈÔÒÔ108¡«110×éΪÀý£¬£¬£¬£¬£¬£¬£¬±¾×é¶ÎÏÂÏÞΪ108£¬£¬£¬£¬£¬£¬£¬ÉÏÏÞΪ110£¬£¬£¬£¬£¬£¬£¬108+110/ƵÊý=218/2=109¡£ ¡£¡£¡£¡£¡£
4ª±ÓÉÓÚfn=ƵÊý××éÖÐÖµ£¬£¬£¬£¬£¬£¬£¬ÒÔ´ËÅÌËã¸÷×éµÄѪºìÂѰ××ÜÁ¿¡£ ¡£¡£¡£¡£¡£
5ª±½«¸÷×éµÄ×éÖÐÖµÏà¼Ó£¬£¬£¬£¬£¬£¬£¬Çó³ö∑f¡£ ¡£¡£¡£¡£¡£
6ª±½«ÒÔÉÏÅÌËãЧ¹û»ãÖÆ±í3ª²6ª²1ÖС£ ¡£¡£¡£¡£¡£
7ª±Æ¾Ö¤¹«Ê½£¨3ª²6ª²2£©£¬£¬£¬£¬£¬£¬£¬ÇóXÖµ£º

8ª±Ð§¹û£º110Àý²¡È˵ÄѪºìÂÑ°×Æ½¾ùֵΪ119ª±95g/L¡£ ¡£¡£¡£¡£¡£
£¨Èý£©¼ò½Ý·¨
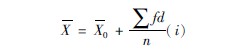
¼ò½Ý·¨Êǽ«ÆµÊý±íÉϵÄÊýÖµ¼ò»¯³É×î¼òÆÓµÄ×ÔÈ»Êý£¬£¬£¬£¬£¬£¬£¬ÔÙ°´¹«Ê½£¨3ª²6ª²4£©ÅÌËã¾ùÖµ£º

ʽÖÐXΪ¾ùÊý£¬£¬£¬£¬£¬£¬£¬X0Ϊ¼ÙÉè¾ùÊý£¬£¬£¬£¬£¬£¬£¬iΪ×é¾à£¬£¬£¬£¬£¬£¬£¬fΪ±äÁ¿ÖµµÄƵÊý£¨¼´¸öÊý£©£¬£¬£¬£¬£¬£¬£¬dΪ²îÊý£¬£¬£¬£¬£¬£¬£¬nΪÊÓ²ìÖµÊý¡£ ¡£¡£¡£¡£¡£
¡¾½âÌâ°ì·¨¡¿
1ª±ÈÔÒÔÀý3ª²6ª²2ΪÀý£¬£¬£¬£¬£¬£¬£¬ÌåÀýƵÊý±í3ª²6ª²2¡£ ¡£¡£¡£¡£¡£
2ª±ÅÌËã¸÷×éµÄ×éÖÐÖµ£ºÅÌË㹫ʽΪ3ª²6ª²3£¬£¬£¬£¬£¬£¬£¬µÚÒ»×éµÄ×éÖÐֵΪ£¨108+110£©/2=109¡£ ¡£¡£¡£¡£¡£ÆäËû×éµÄ×éÖÐÖµÅÌËãÒªÁìÓë´Ë·¨Ïàͬ¡£ ¡£¡£¡£¡£¡£
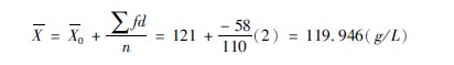
3ª±Ñ¡ÔñÒ»¸ö×éÖÐÖµ×÷Ϊ¼ÙÉè¾ùÊý£ºÎªÁ˱ãÒÔÅÌË㣬£¬£¬£¬£¬£¬£¬ÒËѡƵÊý×î¶àµÄÒ»×飬£¬£¬£¬£¬£¬£¬±¾ÀýµÚÆß×鯵Êý¶à´ï21£¬£¬£¬£¬£¬£¬£¬Ó¦ÒÔÆß×éµÄ×éÖÐÖµ£¨21£©Îª¼ÙÉè¾ùÊý¡£ ¡£¡£¡£¡£¡£
4ª±Ã¿×éµÄ×éÖÐÖµ¶¼¼õÈ¥¼ÙÉè¾ùÊý0£¬£¬£¬£¬£¬£¬£¬È»ºó³ýÒÔ×é¾à£¨×é¾àΪ2£©£¬£¬£¬£¬£¬£¬£¬°Ñ¸÷×éµÄ×éÖÐÖµ¼ò»¯Îª×î¼òÆÓµÄ×ÔÈ»Êý£¨²îÊýd£©¡£ ¡£¡£¡£¡£¡£µÚÆß×é×éÖÐֵΪ121£¬£¬£¬£¬£¬£¬£¬¼ÙÉè¾ùÊýΪ121¡£ ¡£¡£¡£¡£¡£d=(121-121)=0£¬£¬£¬£¬£¬£¬£¬µÚ°Ë×éd=£¨123-121£©/2=1£¬£¬£¬£¬£¬£¬£¬ÆäÓàÀàÍÆ¡£ ¡£¡£¡£¡£¡£´Ó±íÖеÄÅÌËãЧ¹û¿ÉÒÔ¿´³ö£¬£¬£¬£¬£¬£¬£¬Ñ¡¶¨Îª¼ÙÉèµÄÒ»×éΪ0£¬£¬£¬£¬£¬£¬£¬±ÈËüСµÄ¸÷×é¶Î˳´ÎΪ-1£¬£¬£¬£¬£¬£¬£¬-2…±ÈËü´óµÄ¸÷×é¶Î˳´ÎΪ1£¬£¬£¬£¬£¬£¬£¬2£¬£¬£¬£¬£¬£¬£¬3£¬£¬£¬£¬£¬£¬£¬…
5ª±Æ¾Ö¤±í3ª²6ª²2ÖеÄÊý¾Ý£¬£¬£¬£¬£¬£¬£¬ÅÌËãµÃ£º

´úÈ빫ʽ£¨3ª²6ª²4£©£¬£¬£¬£¬£¬£¬£¬µÃ£º

¼ò½ÝÒªÁìµÄÅÌËãЧ¹ûÓë¼ÓȨ·¨ÅÌËãЧ¹ûÏàËÆ¡£ ¡£¡£¡£¡£¡£

¶þ¡¢¼¸ºÎ¾ùÊý
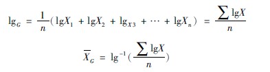
¼¸ºÎ¾ùÊý£¨geometric mean£¬£¬£¬£¬£¬£¬£¬G£©ÓÃÓÚ´¦Öóͷ£Êý¾ÝÖÐÉÙÊýÊýÖµ¹ý´óµÄ×ÊÁÏ£¬£¬£¬£¬£¬£¬£¬»òËüÃÇÖ®¼äÏà²î½Ï´ó£¬£¬£¬£¬£¬£¬£¬»òΪ±¶Êý¹ØÏµ¡£ ¡£¡£¡£¡£¡£ÆäÖ±½Ó·¨ÅÌË㹫ʽΪ£¨3ª²6ª²4£©£º

GΪ¼¸ºÎ¾ùÊý£¬£¬£¬£¬£¬£¬£¬X1£¬£¬£¬£¬£¬£¬£¬X2…Ϊ¸÷±äÁ¿Öµ£¬£¬£¬£¬£¬£¬£¬nΪ×ÜÆµÊý¡£ ¡£¡£¡£¡£¡£ÉÏʽ¿ÉÒÔд³É¶ÔÊýÐι«Ê½£¨3ª²6ª²5£©ºÍ¼ÓȨ¹«Ê½£¨3ª²6ª²6£©£º

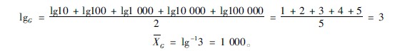
ʾÀý3ª²6ª²3£º5Àý²¡ÈËѪÇ忹ÌåЧ¼Û»®·ÖΪ1¡Ã10¡¢1¡Ã100¡¢1¡Ã1000¡¢1¡Ã10000¡¢1¡Ã100000£¬£¬£¬£¬£¬£¬£¬ÇóÆäЧ¼Ûƽ¾ùÖµ¡£ ¡£¡£¡£¡£¡£
¡¾½âÌâ°ì·¨¡¿
½«ÌâÖÐÊý×Ö´úÈ빫ʽ£¨3ª²6ª²5£©£º

´ð£º²¡ÈËѪÇ忹ÌåЧ¼Ûƽ¾ùֵΪ1¡Ã1000¡£ ¡£¡£¡£¡£¡£
Èý¡¢ ÖÐλÊýÊý·¨
ÖÐλÊý£¨medi£¬£¬£¬£¬£¬£¬£¬M£©Ö¸Ò»×é°´¾ÞϸÐò´ÎÅÅÁеıäÁ¿Öµ£¬£¬£¬£¬£¬£¬£¬ÕýÖÐÐÄËù´¦µÄÊýֵΪÖÐÐÄÊý¡£ ¡£¡£¡£¡£¡£µ±Ò»×é±äÁ¿ÖµÖУ¬£¬£¬£¬£¬£¬£¬´ó²¿·Ö½ÏÁ¿¼¯ÖУ¬£¬£¬£¬£¬£¬£¬½öÓÐÉÙÊýÆ«ÀëÒ»²àʱ£¬£¬£¬£¬£¬£¬£¬ÒËÓÃÖÐλÊýÌåÏÖËüÃǵļ¯ÖÐÇ÷ÊÆ¡£ ¡£¡£¡£¡£¡£µ±±äÁ¿ÖµµÄ¸öÊýnÎªÆæÊýʱ£¬£¬£¬£¬£¬£¬£¬ÖÐλÊýËùÔÚλ´ÎΪ£¨n£«1£©/2£»£»£» £»£»£»£»µ±nΪżÊýʱ£¬£¬£¬£¬£¬£¬£¬Î»´Î¾ÓÖÐÒÔÁ½¸ö±äÁ¿ÖµµÄƽ¾ùÊý¼´ÎªÖÐλÊý¡£ ¡£¡£¡£¡£¡£¹«Ê½Îª£¨3ª²6ª²7£©£º

MdΪÖÐλÊý£¬£¬£¬£¬£¬£¬£¬LΪÖÐλÊýËùÔÚ×éµÄÏÂÏÞ£¬£¬£¬£¬£¬£¬£¬iΪÖÐλÊýËùÔÚ×éµÄ×é¾à£¬£¬£¬£¬£¬£¬£¬fmdΪÖÐλÊýËùÔÚ×éµÄƵÊý£¬£¬£¬£¬£¬£¬£¬nΪ×ܶîÊý£¬£¬£¬£¬£¬£¬£¬cΪÖÐλÊýËùÔÚ×éÒÔǰµÄÀÛ¼ÆÆµÊý£¬£¬£¬£¬£¬£¬£¬ÀÛ¼ÆÆµÊýΪÿ×éÀýÊýÓëÆä֮ǰ¸÷×éÀýÊýÖ®ºÍ¡£ ¡£¡£¡£¡£¡£
ʾÀý3ª²6ª²4±í3ª²6ª²3ÖмͼÁË145ÀýÉÕÉËÐÝ¿ËÆÚ²¡ÈËÉ˺óסԺ½ÓÊÜÖÎÁƵÄʱ¼ä£¨¼û±í3ª²6ª²3£©£¬£¬£¬£¬£¬£¬£¬ÎÊËûÃÇÐÝ¿ËÆÚסԺ½ÓÊÜÖÎÁÆÊ±¼äµÄÖÐλÊýÊǼ¸¶à£¿£¿£¿£¿£¿£¿£¿£¿

¡¾½âÌâ°ì·¨¡¿
´Ó±í3ª²6ª²3Öп´³ö£¬£¬£¬£¬£¬£¬£¬×ÜÆµÊý145µÄÒ»°ëΪ72ª±5£¬£¬£¬£¬£¬£¬£¬“¡«18h”×éµÄÀÛ¼ÆÆµÊýΪ101£¬£¬£¬£¬£¬£¬£¬´óÓÚ72ª±5£¬£¬£¬£¬£¬£¬£¬Òò´Ë£¬£¬£¬£¬£¬£¬£¬¸Ã×é¾ÍÊÇÖÐλÊýËùÔÚ×é¡£ ¡£¡£¡£¡£¡£
ƾ֤¹«Ê½£¨3ª²6ª²7£©£¬£¬£¬£¬£¬£¬£¬ÅÌËãÖÐλÊý£º

£¨“¡«18h”×éµÄʱ¼äÏÂÏÞÓ¦´óÓÚ12£¬£¬£¬£¬£¬£¬£¬ÎªÅÌËãÀû±ãѡΪ12£©
´ð£º¸Ã×鲡ÈËÐÝ¿ËÆÚסԺ½ÓÊÜÖÎÁÆÊ±¼äµÄÖÐλÊýÊÇ13ª±5Сʱ¡£ ¡£¡£¡£¡£¡£

ÍøÕ¾µØÍ¼