NGÏàÐÅÆ·ÅƵÄÁ¦Á¿¹ÙÍø

English NGÏàÐÅÆ·ÅƵÄÁ¦Á¿¹ÙÍø¼¯ÍÅÆóÒµÓÊÏä

µÚ¶þ½Ú ³£ÓõÄÏà¶ÔÊýÐÎò

×÷ÕߣºÐìÈÙÏé ³öÊéÉ磺Öйú¿ÆÑ§ÊÖÒÕ³öÊéÉç ¿¯ÐÐÈÕÆÚ£º2009Äê7ÔÂ

Ò»¡¢Ç¿¶ÈÏà¶ÔÊý£¨ÂÊ£©
Ç¿¶ÈÏà¶ÔÊýÓÖ³ÆÂʵÄÖ¸±ê»òÇ¿¶ÈÖ¸±ê £¬£¬£¬£¬£¬ÊÇÄÚÈݲî±ð¶øÓÐÁªÏµµÄÁ½¸ö×ÜÁ¿Ö¸±êµÄ±È¡£ ¡£¡£¡£¡£ËüÅú×¢¼²²¡»òijÕ÷ÏóÔÚÒ»¶¨¹æÄ£ÄÚ·ºÆðµÄ´ÎÊý»òÆÕ±éˮƽ £¬£¬£¬£¬£¬Í¨³£ÒÔ100»ò1 000»ò10ÍòΪ»ùÊýÌåÏÖ¡£ ¡£¡£¡£¡£
ÅÌË㹫ʽΪ

ʾÀý3ª²3ª²1¼×µ¥Î»¹²ÓÐÖ°¹¤2 000ÈË £¬£¬£¬£¬£¬ÄêÄÚ±¬·¢ÉÕÌÌÉËÕß20Àý £¬£¬£¬£¬£¬ÒÒµ¥Î»¹²ÓÐÖ°¹¤1 000ÈË £¬£¬£¬£¬£¬ÄêÄÚ±¬·¢ÉÕÌÌÉËÕßҲΪ20Àý £¬£¬£¬£¬£¬ÊÔÎÊËûÃǵÄÉÕÌÌÉ˱¬·¢ÂÊ»®·ÖΪ¼¸¶à£¿£¿£¿£¿£¿

¶þ¡¢½á¹¹Ïà¶ÔÊý
½á¹¹Ïà¶ÔÊýÓÖ³Æ×é³É±È»ò°Ù·Ö±È £¬£¬£¬£¬£¬ÊǸ÷×é³É²¿·Ö¶ÔÈ«ÌåµÄ±È £¬£¬£¬£¬£¬ËüÌåÏÖijÊÂÎï»òijÕ÷ÏóµÄ¸÷¸ö²¿·ÖÔÚÈ«ÌåÖÐËùÕ¼µÄ±ÈÖØ»òְλ £¬£¬£¬£¬£¬ÊÇÒ»ÖÖ×é³ÉÖ¸±ê £¬£¬£¬£¬£¬¹Ê³Æ×é³É±È¡£ ¡£¡£¡£¡£³£ÓÃÓÚÌåÏÖ·¢¼²Ê±¼ä£¨Ô¡¢ÈÕ¡¢Ð¡Ê±£©¡¢ÄêËê¡¢ÐÔ±ð¡¢Ö°ÒµµÄ·ÖÅɵȡ£ ¡£¡£¡£¡£ÁÙ´²Ä¥Á·ÖÐ×î³£¼ûµÄ×é³É±ÈΪÖÖÖÖѪϸ°ûÔÚѪҺÖлòijÖÖϸ°ûÖеÄ×é³É±È¡£ ¡£¡£¡£¡£¹«Ê½Îª£º

ʾÀý3ª²3ª²2Ò»×éÉÕÉ˲¡È˹²ÓÐ200¸ö´´Ãæ £¬£¬£¬£¬£¬ÆäÖÐdz¶È´´Ãæ80¸ö £¬£¬£¬£¬£¬Éî¢ò¶ÈºÍ¢ó¶È´´Ãæ¸÷60¸ö £¬£¬£¬£¬£¬ÇóÉî¢ò¶È´´ÃæµÄ×é³É±È£¿£¿£¿£¿£¿
ƾ֤¹«Ê½£¨3ª²3ª²2£© £¬£¬£¬£¬£¬ÅÌËãЧ¹ûΪ£º

´ð£ºÉî¢ò¶È´´ÃæµÄ×é³É±ÈΪ30%£¨ÆäËû´´Ãæ×é³É±ÈÅÌËãÒªÁìÓë´ËÏàͬ £¬£¬£¬£¬£¬Ç³¢ò¶È´´Ãæ×é³É±ÈΪ40% £¬£¬£¬£¬£¬¢ó¶ÈΪ305 £¬£¬£¬£¬£¬×ܺÍΪ100%£©¡£ ¡£¡£¡£¡£
½á¹¹Ïà¶ÔÊýÓëÇ¿¶ÈÏà¶ÔÊýÊÇÁ½¸ö²î±ðµÄ¿´·¨ £¬£¬£¬£¬£¬½á¹¹Ïà¶ÔÊý¸÷²¿·Ö¿ÉÒÔÏà¼Ó £¬£¬£¬£¬£¬×ܺͼ´ÊÇ100% £¬£¬£¬£¬£¬ÆäÖÐijһ²¿·ÖÔö´ó £¬£¬£¬£¬£¬ÆäËû²¿·ÖÒ»¶¨»áËõС£ ¡£¡£¡£¡£»£» £»£» £»Ç¿¶ÈÏà¶ÔÊý²»¿ÉÏà¼Ó £¬£¬£¬£¬£¬×ÜÇ¿¶ÈÓ¦ÖØÐÂÅÌËã £¬£¬£¬£¬£¬ÈçÀý3ª²3ª²1 £¬£¬£¬£¬£¬ËûÃǵÄÉÕÌÌÉ˱¬·¢ÂÊ»®·ÖΪ1%ºÍ2% £¬£¬£¬£¬£¬²»¿ÉÓÃ1ª±5%ÌåÏÖ £¬£¬£¬£¬£¬¼´²»¿É°Ñ¸÷×ÔµÄÇ¿¶ÈÏà¶ÔÊýÖ®ºÍ×÷ΪËûÃǵÄ×ÜÇ¿¶È¡£ ¡£¡£¡£¡£
Èý¡¢½ÏÁ¿Ïà¶ÔÊý
ÊÇÁ½ÖÖÕ÷ÏóµÄÊýÄ¿Ï໥½ÏÁ¿ £¬£¬£¬£¬£¬Åú×¢Á½ÖÖÕ÷ÏóÔÚÖÖÖÖÌõ¼þϵıÈÕÕ¹ØÏµ¡£ ¡£¡£¡£¡£Í¨³£ÒÔijÖÖÕ÷ÏóΪ1»ò100×÷Ϊ»ù´¡ £¬£¬£¬£¬£¬ÊÓ²ìÁíÒ»ÖÖÕ÷ÏóµÄÊýÄ¿ÊǼ¸¶à¡£ ¡£¡£¡£¡£
¹«Ê½Îª£º

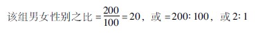
ʾÀý3ª²3ª²3ijҽԺ1ÄêÄÚ¹²ÊÕÖÎÉÕÉ˲¡ÈË300Àý £¬£¬£¬£¬£¬ÆäÖÐÄÐÐÔ200Àý £¬£¬£¬£¬£¬Å®ÐÔ100Àý £¬£¬£¬£¬£¬ÅÌËã¸Ã×鲡ÀýÐÔ±ðÖ®±È£¿£¿£¿£¿£¿
ƾ֤¹«Ê½£¨3ª²3ª²3£© £¬£¬£¬£¬£¬ÅÌËãЧ¹ûΪ£º

´ð£ºÄ³Ò½Ôº1ÄêÄÚÊÕÖÎÉÕÉ˲¡È˵ÄÄÐŮ֮±ÈΪ2¡Ã1 £¬£¬£¬£¬£¬»ò200¡Ã100¡£ ¡£¡£¡£¡£ÉÏÊöʾÀýΪÁ½¸öÏà¶ÔÊýÖ®±È £¬£¬£¬£¬£¬Ò²¿ÉÓÃÒÔÌåÏÖÁ½¸ö¾ø¶ÔÊý»òƽ¾ùÊýÖ®±È¡£ ¡£¡£¡£¡£
ËÄ¡¢¶¯Ì¬Ïà¶ÔÊý
¶¯Ì¬Ïà¶ÔÊýÊǰÑһϵÁÐͳ¼ÆÖ¸±ê£¨°üÀ¨¾ø¶ÔÊý¡¢Ïà¶ÔÊý»òƽ¾ùÊý£©×¼Ê±¼ä˳ÐòÅÅÁÐÆðÀ´µÄÊý¾Ý £¬£¬£¬£¬£¬ÒÀ´Î³ÉΪ¶¯Ì¬ÏµÁС£ ¡£¡£¡£¡£ÆäÒâÒåÔÚÓÚ˵Ã÷ÊÂÎïÔÚʱ¼äÉϵÄת±äºÍÉú³¤Ç÷ÊÆ £¬£¬£¬£¬£¬ÊÓ²ìÊÂÎïÔÚ²î±ðʱÆÚÄÚµÄת±äºÍÉú³¤¡£ ¡£¡£¡£¡£¶¯Ì¬Ïà¶ÔÊýÁзÖΪ¶¨»ù±ÈºÍ»·±È¡¢¾ø¶ÔÔöÌíÁ¿¡¢Éú³¤ËÙÂʺÍÔöÌíËÙÂÊ¡¢Æ½¾ùÉú³¤ËÙÂÊÇå¾²¾ùÔö¼õËÙÂÊ¡£ ¡£¡£¡£¡£³£ÓÃÖ¸±êÆÊÎö¹«Ê½ÓëÅÌËãÒªÁ죺
1ª±¶¨»ù±È
¶¨»ù±ÈÊÇÔÚ¶¯Ì¬ÊýÁÐÖÐ £¬£¬£¬£¬£¬ÒÔijһÄêµÄÊýÖµ×÷Ϊ»ùÊý£¨·Öĸ£© £¬£¬£¬£¬£¬È»ºó½«¸÷ÄêµÄÊýÖµÓëÖ®Ïà±È £¬£¬£¬£¬£¬ÒòÆä»ùÊýÊÇÀο¿µÄ £¬£¬£¬£¬£¬¹Ê³Æ¶¨»ù±È¡£ ¡£¡£¡£¡£
¹«Ê½Îª£º

2ª±»·±È
ÔÚ¶¯Ì¬ÊýÁÐÖÐ £¬£¬£¬£¬£¬½«¸÷ÄêµÄÊýÖµÓëÆäǰһÄêµÄÊýÖµÏà±È £¬£¬£¬£¬£¬ÓÉÓÚ»ùÊýÊDz»Àο¿µÄ £¬£¬£¬£¬£¬²¢ÇÒÊÇÒÀ´ÎÌæ»» £¬£¬£¬£¬£¬¹Ê³ÆÎª»·±È¡£ ¡£¡£¡£¡£
¹«Ê½Îª£º

3ª±¾ø¶ÔÔöÌíÁ¿¡¢Éú³¤ËÙÂʺÍÔöÌíËÙÂÊ
¢Ù¾ø¶ÔÔöÌíÁ¿£ºËµÃ÷ÊÂÎïÔÚһ׼ʱÆÚÄÚËùÔöÌíµÄ¾ø¶ÔÊýÄ¿£»£» £»£» £» ¢ÚÉú³¤ËÙÂʺÍÔöÌíËÙÂʾùΪÏà±ÈÕÕ £¬£¬£¬£¬£¬ËµÃ÷ÊÂÎïÔÚһ׼ʱÆÚÄÚµÄÉú³¤ËÙÂÊת±ä¡£ ¡£¡£¡£¡£ÅÌËãʱ £¬£¬£¬£¬£¬ÈôÊÇÓÃij¸öʱÆÚµÄÖ¸±ê×÷Ϊ»ùÊý £¬£¬£¬£¬£¬½«¸÷ʱÆÚµÄÖ¸±êÓëÖ®Ïà±È £¬£¬£¬£¬£¬³ÆÎª¶¨»ù±È£»£» £»£» £»ÈôÊÇÒÔǰһ¸öʱÆÚµÄÖ¸±ê×÷Ϊ»ùÊý(·ÇÀο¿µÄ) £¬£¬£¬£¬£¬ÒÔÏàÁڵĺóÒ»¸öʱÆÚµÄÖ¸±êÓëÖ®Ïà±È £¬£¬£¬£¬£¬¼´Îª»·±È¡£ ¡£¡£¡£¡£
ʾÀý3ª²3ª²410ËùÉÕÉËÖÐÐÄÔÚ¾ÅÄêÄÚÉÕÉ˲¡´²µÄÊýÄ¿±¬·¢ÁËÒÔÏÂת±ä£¨×ÊÁϼû±í3ª²3ª²1£© £¬£¬£¬£¬£¬ÊÔÓñí3ª²3ª²1Öеģ¨1£©¡¢£¨2£©À¸×÷Ϊ¶¯Ì¬ÆÊÎö £¬£¬£¬£¬£¬ÎÊÉú³¤¶¯Ì¬ÓкÎת±ä£¿£¿£¿£¿£¿  
¡¾±í3ª²3ª²1µÄÅÌËãÓëÌîд°ì·¨¡¿
µÚ£¨1£©À¸£º¶¨»ù¡ï £¬£¬£¬£¬£¬ÒÔ1991Ä겡´²ÊýΪ»ùÊý £¬£¬£¬£¬£¬ÔÚ¶¯Ì¬ÊýÁÐÖÐͳһÒÔijһʱµã»òʱÆÚµÄÖ¸±ê×÷Ϊ»ùÊý£¨·Öĸ£© £¬£¬£¬£¬£¬Óù«Ê½3ª²3ª²4ÅÌËã¡£ ¡£¡£¡£¡£
µÚ£¨2£©À¸£º»·±È¡î £¬£¬£¬£¬£¬ÒÔǰһʱµã»òʱÆÚ£¨Ä꣩µÄÖ¸±ê£¨²¡´²Êý£©Îª»ùÊý£¨·Öĸ£© £¬£¬£¬£¬£¬Òò»ùÊýÒÀ´ÎÌæ»» £¬£¬£¬£¬£¬Óù«Ê½3ª²3ª²5ËãµÃ¸÷¸öʱµã»òʱÆÚµÄÏà±ÈÕÕ£¨»·±È£©¡£ ¡£¡£¡£¡£
µÚ£¨3£©À¸£º1992ÄêÀÛ¼ÆÔöÌíÁ¿=2100-1400=700£»£» £»£» £» 1993ÄêÀÛ¼ÆÔöÌíÁ¿=2200-1400=800£»£» £»£» £» ÒÔÏ·´ˡ£ ¡£¡£¡£¡£
µÚ£¨4£©À¸£º1992ÄêÖðÄêÔöÌíÁ¿=2100-1400=700£»£» £»£» £» 1993ÄêÖðÄêÔöÌíÁ¿=2200-2100=100£»£» £»£» £»ÒÔÏ·´ˡ£ ¡£¡£¡£¡£
µÚ£¨5£©À¸£º1992Ä궨»ùÉú³¤ËÙÂÊ=2100/1400×100%=150ª±0%£»£» £»£» £» 1993Ä궨»ùÉú³¤ËÙÂÊ=2200/2100×100%=157ª±1%£»£» £»£» £»ÒÔÏ·´ˡ£ ¡£¡£¡£¡£
µÚ£¨6£©À¸£º1992Äê»·±ÈÉú³¤ËÙÂÊ=2100/1400×100%=150ª±0%£»£» £»£» £» 1993Äê»·±ÈÉú³¤ËÙÂÊ=2200/2100×100%=104ª±8%£»£» £»£» £»ÒÔÏ·´ˡ£ ¡£¡£¡£¡£
µÚ£¨7£©À¸£º1992Ä궨»ùÔöÌíËÙÂÊ=1992Ä궨»ùÉú³¤ËÙÂÊ-1=150ª±0%-100%=50ª±0%£»£» £»£» £»1993Ä궨»ùÔöÌíËÙÂÊ=1993Ä궨»ùÉú³¤ËÙÂÊ-1=157ª±1%-100%=57ª±1%£»£» £»£» £»ÒÔÏ·´ˡ£ ¡£¡£¡£¡£
µÚ£¨8£©À¸£º1992Äê»·±ÈÔöÌíËÙÂÊ=1992Äê»·±ÈÉú³¤ËÙÂÊ-1=150ª±0%-100%=50ª±0%£»£» £»£» £» 1993Äê»·±ÈÔöÌíËÙÂÊ=1993Äê»·±ÈÉú³¤ËÙÂÊ-1=104ª±8%-%100%=4ª±8%£»£» £»£» £»ÒÔÏ·´ˡ£ ¡£¡£¡£¡£

Óɱí3ª²3ª²1˵Ã÷ £¬£¬£¬£¬£¬¾ÅÆäÖÐÐÄ1991ÄêÔ­ÓÐÉÕÉ˲¡´²1 400ÕÅ £¬£¬£¬£¬£¬ÖÁ1999ÄêÉú³¤µ½4 500ÕÅ £¬£¬£¬£¬£¬Ï൱ÓÚÔ­Óд²Î»µÄ321ª±4%¡£ ¡£¡£¡£¡£
4ª±Æ½¾ùÉú³¤ËÙÂÊÇå¾²¾ùÔö¼õËÙÂÊ
ÎÀÉúÊÂÒµÖеÄÖÖÖÖÕ÷Ïó £¬£¬£¬£¬£¬ÔÚÒ»¸ö½Ï³¤Ê±ÆÚÄÚÆäÖðÄêÉú³¤»òÔöÌíת±äËÙÂÊÊDzî±ðµÄ¡£ ¡£¡£¡£¡£ÈçʾÀý3ª²3ª²1£¨±í3ª²3ª²1£© £¬£¬£¬£¬£¬8Äê¼ä¹²ÔöÌíÁË3 100ÕÅ´²Î» £¬£¬£¬£¬£¬ÔöÌíÁË221ª±4%¡£ ¡£¡£¡£¡£ËäȻÿÄê¶¼ÓÐÔöÌí £¬£¬£¬£¬£¬µ«Éú³¤²¢²»Æ½ºâ¡£ ¡£¡£¡£¡£1991¡«1992ÄêÔöÌí½Ï¿ì £¬£¬£¬£¬£¬1993¡«1996Äê¼äÔöÌí½ÏÂý¡£ ¡£¡£¡£¡£ÎªÁËÆÊÎöºÍ½ÏÁ¿½Ï³¤Ê±ÆÚµÄÖðÄêÆ½¾ùÉú³¤»òÔöÌíÇéÐÎ £¬£¬£¬£¬£¬ÔòÐèÒªÅÌËãÆ½¾ùÉú³¤ËÙÂÊÇå¾²¾ùÔö¼õËÙÂÊ¡£ ¡£¡£¡£¡£
£¨1£©Æ½¾ùÉú³¤ËÙÂÊ
ƽ¾ùÉú³¤ËÙÂÊÊǸ÷¸ö»·±ÈÉú³¤ËÙÂÊµÄÆ½¾ùÊý¡£ ¡£¡£¡£¡£Ëü˵Ã÷ijÕ÷ÏóÔÚÒ»¸ö½Ï³¤Ê±ÆÚÄÚµÄÖðÄêÆ½¾ùÉú³¤ËÙÂÊ £¬£¬£¬£¬£¬³£Óü¸ºÎ¾ùÊý·¨ÅÌËã¡£ ¡£¡£¡£¡£
½«¸÷¸ö»·±ÈÉú³¤ËÙÂÊÊÓΪ±äÁ¿£¨X£© £¬£¬£¬£¬£¬»·±ÈÉú³¤ËÙÂʵÄÏîÊý×÷Ϊ±äÁ¿µÄ¸öÊý£¨n£© £¬£¬£¬£¬£¬ÓÉÓÚ¸÷¸ö»·±ÈÉú³¤ËÙÂʵÄÁ¬³Ë»ý¼´ÊÇ×îºóÒ»ÄêµÄ¶¨»ùÉú³¤ËÙÂÊ¡£ ¡£¡£¡£¡£¹Êƽ¾ùÉú³¤ËÙÂʵÄÅÌË㹫ʽΪ£º
G=nX1·X2·X3·…·Xn=nα1α0·α2α1·αn-1αn-2·αnαn-1=nαnα0(3ª²3ª²6)
¹«Ê½ÖÐGΪƽ¾ùÉú³¤ËÙÂÊ£»£» £»£» £»α0Ϊ»ùÆÚˮƽ£»£» £»£» £»¨»1 ¡¢¨»2…Ϊ´ú±í¸÷ÆÚˮƽ£»£» £»£» £»¨»nΪĩÆÚˮƽ£»£» £»£» £»nΪ»·±ÈÉú³¤ËÙÂʵÄÏîÊý £¬£¬£¬£¬£¬ÓöÔÊýÅÌËã¡£ ¡£¡£¡£¡£ÅÌË㹫ʽΪ£º

¹«Ê½ÖÐGΪƽ¾ùÉú³¤ËÙÂÊ£»£» £»£» £»α0Ϊ»ùÆÚˮƽ£»£» £»£» £»¨»1 ¡¢¨»2…Ϊ´ú±í¸÷ÆÚˮƽ£»£» £»£» £»¨»nΪĩÆÚˮƽ£»£» £»£» £»nΪ»·±ÈÉú³¤ËÙÂʵÄÏîÊý £¬£¬£¬£¬£¬ÓöÔÊýÅÌËã¡£ ¡£¡£¡£¡£ÅÌË㹫ʽΪ£º

ʹÓù«Ê½£¨3ª²3ª²7£© £¬£¬£¬£¬£¬£¨3ª²3ª²8£©ÅÌËã±í3ª²3ª²1ÖÐ1991¡«1999Äê¼ä²¡´²ÊýµÄƽ¾ùÉú³¤ËÙÂÊΪ1ª±1572£¨115ª±72%£©¡£ ¡£¡£¡£¡£Òòƽ¾ùÉú³¤ËÙÂÊ´óÓÚ1 £¬£¬£¬£¬£¬ÌåÏÖΪƽ¾ùÉÏÉýËÙÂÊ£»£» £»£» £»Ïà·´ £¬£¬£¬£¬£¬ÈôÊÇÆ½¾ùÉú³¤ËÙÂÊСÓÚ1 £¬£¬£¬£¬£¬ÌåÏÖΪƽ¾ùϽµËÙÂÊ¡£ ¡£¡£¡£¡£
£¨2£©Æ½¾ùÔö¼õËÙÂÊ
ƽ¾ùÔö¼õËÙÂÊ-1£¨100%£©ºóµÄ²îÊý¼´ÎªÆ½¾ùÔö¼õËÙÂÊ¡£ ¡£¡£¡£¡£±í3ª²3ª²1ÖÐ1993¡«1999ÄêµÄƽ¾ùÉú³¤ËÙÂÊΪ115ª±72%¡£ ¡£¡£¡£¡£Æäƽ¾ùÔö¼õËÙÂÊΪ115ª±72%-100%=15ª±72%¡£ ¡£¡£¡£¡£ÌåÏÖÿÄêÆ½¾ùµÝÔö15ª±72%¡£ ¡£¡£¡£¡£Æ½¾ùÉú³¤ËÙÂÊ´óÓÚ100% £¬£¬£¬£¬£¬Æ½¾ùÔö¼õËÙÂÊΪÕýÖµ £¬£¬£¬£¬£¬¹ÊÓÖ³ÆÆ½¾ùµÝÔöÂÊ¡£ ¡£¡£¡£¡£Ð¡ÓÚ100%µÄƽ¾ùÉú³¤ËÙÂÊÆäÆ½¾ùÔö¼õËÙÂÊΪ¸ºÖµ £¬£¬£¬£¬£¬³ÆÎªÆ½¾ù½µµÍËÙÂÊ £¬£¬£¬£¬£¬ÌåÏÖijÕ÷ÏóÔÚijһ½Ï³¤Ê±ÆÚÄÚÖðÄêÆ½¾ùïÔÌ­µÄˮƽ £¬£¬£¬£¬£¬¹ÊÓÖ³ÆÆ½¾ùµÝ¼õÂÊ¡£ ¡£¡£¡£¡£
ÁíÍâ £¬£¬£¬£¬£¬Á½Äê·¢²¡ÂÊ»òÁ½ÄêÖÎÓúÂʵĽÏÁ¿Ò²ÊôÓÚ¶¯Ì¬Ïà¶ÔÊýÖ¸±ê¡£ ¡£¡£¡£¡£¼ÙÉè2003Äê´óÃæ»ýÉÕÉ˲¡ËÀÂÊΪ15% £¬£¬£¬£¬£¬2004Äê´óÃæ»ýÉÕÉ˲¡ËÀÂÊΪ10% £¬£¬£¬£¬£¬Çó2004Äê´óÃæ»ýÉÕÉ˲¡ËÀÂÊϽµÁ˼¸¶à£¿£¿£¿£¿£¿Ôò£º

´ð£º2004Äê´óÃæ»ýÉÕÉ˲¡ËÀÂʱÈ2003ÄêϽµÁË1ª±5%¡£ ¡£¡£¡£¡£

ÍøÕ¾µØÍ¼