NGÏàÐÅÆ·ÅƵÄÁ¦Á¿¹ÙÍø

English NGÏàÐÅÆ·ÅƵÄÁ¦Á¿¹ÙÍø¼¯ÍÅÆóÒµÓÊÏä

µÚÈý½Ú ÁÙ´²³£ÓÃÂʵĹ«Ê½ÓëÅÌËã

×÷ÕߣºÐìÈÙÏé ³öÊéÉ磺Öйú¿ÆÑ§ÊÖÒÕ³öÊéÉç ¿¯ÐÐÈÕÆÚ£º2009Äê7ÔÂ

1ª±ÁÙ´²³£ÓÃÂʵĻù±¾¹«Ê½Îª
ÂÊ£¨rate£©ÓÖ³ÆÆµÂÊÖ¸±ê£¬£¬£¬£¬£¬£¬£¬ËµÃ÷ÔÚÒ»¶¨Ìõ¼þÏ£¬£¬£¬£¬£¬£¬£¬Ä³Õ÷Ï󱬷¢µÄƵÂÊ»òÕ÷Ï󡣡£¡£¡£¡£
»ù±¾¹«Ê½Îª£º

2ª±·¢²¡ÂÊ
ָһ׼ʱÆÚÄÚij¼¯ÍÅÉú³Ýƽ¾ùÿ°Ù£¨»òǧ¡¢Íò¡¢Ê®Íò£©¸ö±¬·¢Ä³¼²²¡µÄв¡ÀýÊý¡£¡£¡£¡£¡£ÅÌË㹫ʽΪ£º

ʾÀý3ª²3ª²5ijµØÇø2004ÄêµÚÒ»¼¾¶ÈÊ¢ÐÐÐÔÉË·çµÄ·¢²¡ÈËÊýΪ930ÈË£¬£¬£¬£¬£¬£¬£¬¸ÃʱÆÚƽ¾ùÉú³ÝΪ10 008£¬£¬£¬£¬£¬£¬£¬Çó¸ÃµØÇøÁ÷¸Ð±¬·¢ÂÊ£¿£¿£¿£¿ £¿
ƾ֤¹«Ê½(3ª²3ª²9)£¬£¬£¬£¬£¬£¬£¬ÅÌËãЧ¹ûΪ£º

´ð£º¸ÃµØÇø2004ÄêµÚÒ»¼¾¶ÈÊ¢ÐÐÐÔÉË·çµÄ·¢²¡ÂÊΪ9ª±29%¡£¡£¡£¡£¡£
3ª±»¼²¡ÂÊ
ÌåÏÖijһʱ¼äµãÉÏij¼¯ÍÅÉú³ÝÖУ¨³£ÒÔ°Ù¡¢Ç§¡¢Íò¡¢Ê®Íò¼Æ£©»¼ÓÐij²¡µÄÀýÊý¡£¡£¡£¡£¡£¸Ã¹«Ê½³£ÓÃÓÚ¼²²¡ÆÕ²éÊÂÇ飬£¬£¬£¬£¬£¬£¬ÅÌË㹫ʽΪ£º

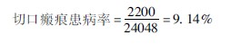
ʾÀý3ª²3ª²6ijµØÇø15ËùÒ½ÔºÆÕ²éÁË24 048Àý×÷¹ýÊÖÊõ²¡È˵ÄÇпÚÇéÐΣ¬£¬£¬£¬£¬£¬£¬Ð§¹ûÓÐ2 200ÈËΪñ£ºÛÓúºÏ£¬£¬£¬£¬£¬£¬£¬ÎÊ×÷¹ýÊÖÊõ²¡ÈËÇпڵÄñ£ºÛ±¬·¢ÂÊÊǼ¸¶à£¿£¿£¿£¿ £¿
ƾ֤¹«Ê½3ª²3ª²10(±¾ÊÓ²ìÖеÄñ£ºÛ±¬·¢ÂÊÊÇÒÔñ£ºÛÓÐÎÞΪ»ù×¼ÅÌËãµÄ)£¬£¬£¬£¬£¬£¬£¬ÅÌËãЧ¹ûΪ£º

´ð£ºÊÖÊõÇпÚñ£ºÛ»¼²¡ÂÊΪ9ª±148%¡£¡£¡£¡£¡£
4ª±ºÏŽÕÉ˱¬·¢ÂÊ
Ö¸Ò»Åú»òÒ»×éÖ÷ÒªÍâÉ˲¡ÈËËùÅãͬµÄÆäËûÍâÉË£¨ÈçÉÕÉ˺ϲ¢¹ÇÕÛ£©µÄ±¬·¢ÇéÐΡ£¡£¡£¡£¡£
ÅÌË㹫ʽΪ£º

5ª±²¢·¢Ö¢±¬·¢ÂÊ
Ö¸Ò»Åú»òÒ»×éÖ÷Òª¼²²¡²¡ÈËËùÅãͬµÄÆäËû¼²²¡£¡£¡£¡£¡£¨ÈçÉÕÉ˲¢·¢Ðݿˡ¢Ñ¬È¾¡¢µç½âÖÊÔÓÂҵȣ©µÄ·¢²¡ÇéÐΡ£¡£¡£¡£¡£¹«Ê½ºÍÅÌËã·½Ó빫ʽ3ª²3ª²11ÀàËÆ¡£¡£¡£¡£¡£µ«ºÏ²¢ÉËÓë²¢·¢Ö¢ÊÇÁ½¸ö²î±ðµÄ¿´·¨£¬£¬£¬£¬£¬£¬£¬Ç°ÕßÊÇÓëÖ÷Òª²¡Ö¢Ïà°é±¬·¢µÄ£¬£¬£¬£¬£¬£¬£¬ºóÕßÊÇÔÚÖÎÁÆÖ÷Òª²¡Ö¢Àú³ÌÖб¬·¢µÄ¡£¡£¡£¡£¡£
6ª±éæÃüÂÊ
éæÃüÂÊÊÇȨºâijµØÄ³Äê×ÜÉú³ÝÖУ¬£¬£¬£¬£¬£¬£¬Òò¼²²¡ËùÖÂéæÃüˮƽÆé᫵ÄÖ¸±ê£¬£¬£¬£¬£¬£¬£¬¼´Ä³ÄêÿǧÉú³ÝµÄéæÃüÊý£¬£¬£¬£¬£¬£¬£¬Í¨³£Ö¸Í¨Ë×éæÃüÂÊ£¨×ÜéæÃüÂÊ£©¡£¡£¡£¡£¡£
ÅÌË㹫ʽΪ£º

7ª±²¡ËÀÂÊ
²¡ËÀÂÊÓëéæÃüÂÊÊÇÁ½¸ö²î±ðµÄ¿´·¨£¬£¬£¬£¬£¬£¬£¬²¡ËÀÂÊÌåÏÖ»¼²¡ÈËÖб¬·¢éæÃüÀýÊýµÄƵ¶È£¬£¬£¬£¬£¬£¬£¬¼´Óû¼²¡ÈËÊý×÷·Öĸ£¬£¬£¬£¬£¬£¬£¬éæÃüÂÊÊÇÒÔÉú³Ý×ÜÊý×÷·Öĸ¡£¡£¡£¡£¡£
ÅÌË㹫ʽΪ£º

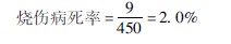
ʾÀý3ª²3ª²7ijҽԺ2004Äê¹²ÊÕÖÎÉÕÉ˲¡ÈË450ÈË£¬£¬£¬£¬£¬£¬£¬éæÃü9ÈË£¬£¬£¬£¬£¬£¬£¬ÎʸÃÔºÉÕÉ˲¡È˵IJ¡ËÀÂÊÊǼ¸¶à£¿£¿£¿£¿ £¿
ƾ֤¹«Ê½£¨3ª²3ª²12£©£¬£¬£¬£¬£¬£¬£¬ÅÌËãЧ¹ûΪ£º

´ð£º¸ÃÔº2004ÄêÉÕÉ˲¡È˵IJ¡ËÀÂÊΪ2ª±0%¡£¡£¡£¡£¡£
´ÓÉÏÀý¿´³ö£¬£¬£¬£¬£¬£¬£¬Ñо¿Ä³Ò»¼²²¡µÄ²¡ËÀÂÊʱ£¬£¬£¬£¬£¬£¬£¬ÓÉÓÚ²»ÊÜʱ¼äÏÞÖÆ£¬£¬£¬£¬£¬£¬£¬ÒÔÊÇÖ»Òª½«ËùÊÓ²ìµÄÒ»¶¨ÃüÄ¿µÄ²¡ÈËËùÓÐÁƳ̾ÙÐÐÍê±Ï£¬£¬£¬£¬£¬£¬£¬¾Í¿ÉÒÔºÜÈÝÒ×µØÅÌËã³öËüµÄ²¡ËÀÂÊ¡£¡£¡£¡£¡£¿ÉÊÇÔÚÅÌËãסԺ¿Æ±ð²¡ËÀÂÊʱ£¬£¬£¬£¬£¬£¬£¬ÒòÊÜʱ¼äÉϵÄÏÞÖÆ£¬£¬£¬£¬£¬£¬£¬Óù«Ê½£¨3ª²3ª²13£©µÄÅÌËãЧ¹û²»¿É·´Ó¦³ö¸ÃʱÆÚµÄÕæÕý²¡ËÀÂÊ¡£¡£¡£¡£¡£Òò´Ë±ØÐèÓÃУÕý²¡ËÀÂʹ«Ê½ÅÌËã¡£¡£¡£¡£¡£
УÕý²¡ËÀÂʹ«Ê½Îª£º

LΪ´ú±í²¡ËÀÂÊ£¬£¬£¬£¬£¬£¬£¬dΪ´ú±íÕûÄêéæÃüÈËÊý£¬£¬£¬£¬£¬£¬£¬aΪ´ú±íÄêÍ·ÔÚÔºÈËÊý£¬£¬£¬£¬£¬£¬£¬bΪ´ú±íÕûÄêÈëÔºÈËÊý£¬£¬£¬£¬£¬£¬£¬cΪ´ú±íÕûÄê³öÔºÈËÊý¡£¡£¡£¡£¡£
ʾÀý3ª²3ª²8ijҽԺ1996ÄêÍ·ÔÚÔºÈËÊý1 400ÈË£¬£¬£¬£¬£¬£¬£¬ÕûÄêÈëÔºÈËÊý1 235ÈË£» £»£»£»£»£»£»£»³öÔºÈËÊý1 048£¬£¬£¬£¬£¬£¬£¬éæÃüÈËÊýΪ62£¬£¬£¬£¬£¬£¬£¬Çó¸ÃÔº1996ÄêµÄ²¡ËÀÂÊ£¿£¿£¿£¿ £¿
¡¾½âÌâ°ì·¨¡¿
ÈçÆ¾Ö¤Ò»Ñùƽ³£¹«Ê½ÅÌË㣬£¬£¬£¬£¬£¬£¬¸ÃÔº²¡ËÀÂÊΪ5ª±9%£¬£¬£¬£¬£¬£¬£¬¶øÆ¾Ö¤Ð£Õý¹«Ê½3ª²3ª²14ÅÌËãÔòΪ£º
ÓÉÓÚ1996ÄêÕûÄêéæÃüÈËÊý£¨d£©62ÈË£» £»£»£»£»£»£»£»1996ÄêÍ·ÔÚÔºÈËÊý£¨a£©1 400ÈË£» £»£»£»£»£»£»£»1996ÕûÄêÈëÔºÈËÊý£¨b£©1 235ÈË£» £»£»£»£»£»£»£»1996ÕûÄê³öÔºÈËÊý£¨c£©1 048ÈË¡£¡£¡£¡£¡£ÅÌËãЧ¹ûΪ£º

´ð£º¸ÃÔº1996Ä겡ËÀÂÊΪ4ª±2%£¨ÆäЧ¹ûÓë½ÓÄÉÒ»Ñùƽ³£¹«Ê½ÅÌËãЧ¹ûÏà²î1ª±8%£©¡£¡£¡£¡£¡£
8ª±ÖÎÓúÂÊ
ÊÇÆÀ¼ÛÁÆÐ§µÄÒ»¸ö³£ÓÃÖ¸±ê£¬£¬£¬£¬£¬£¬£¬Ö¸Ã¿°Ù¸öÖÎÁƲ¡ÈËÖÐÖÎÓúµÄÈËÊý¡£¡£¡£¡£¡£ÖÎÓúÂÊ¿Éϸ·ÖΪij²¡ÖÎÓúÂÊ£¬£¬£¬£¬£¬£¬£¬³öÔº²¡ÈËÖÎÓúÂÊ£¬£¬£¬£¬£¬£¬£¬Ä³ÁÆ·¨ÖÎÓúÂʵÈ£¬£¬£¬£¬£¬£¬£¬µ«ÅÌË㹫ʽÏàËÆ£º

ʾÀý3ª²3ª²9ijҽԺ±¾Ô³öÔºÈËÊý274ÈË£¬£¬£¬£¬£¬£¬£¬ÆäÖÐÖÎÓúÕß256ÈË£¬£¬£¬£¬£¬£¬£¬ÎʳöÔº²¡È˵ÄÖÎÓúÂÊÊǼ¸¶à£¿£¿£¿£¿ £¿
ƾ֤¹«Ê½3ª²3ª²15£º

´ð£º¸ÃÔº±¾Ô³öÔº²¡ÈËÖÎÓúÂÊΪ93ª±4%¡£¡£¡£¡£¡£
9ª±Ñ¬È¾ÂÊ
ָijһÈËȺÔÚijһʱµãÉÏÆ½¾ùÿ°Ù£¨Ç§¡¢Íò£©¸öÉú³ÝÖÐѬȾijÖÖ²¡Ô­ÌåµÄÈËÊý¡£¡£¡£¡£¡£¹«Ê½Îª£º

10ª±ÎóÕïÂÊ
ÌåÏÖÔÚÕï¶ÏÖб¬·¢¹ýʧµÄƵÊý£¬£¬£¬£¬£¬£¬£¬³£´ÓÒÔÏÂÁ½¸ö·½Ãæ¾ÙÐÐÆÀ¼Û£º¢ÙÃÅÕïÕï¶ÏÓëסԺÕï¶ÏµÄ²î±ð£» £»£»£»£»£»£»£»¢ÚÁÙ´²Ó벡ÀíÕï¶ÏµÄ²î±ð¡£¡£¡£¡£¡£¹«Ê½Îª£º

ʾÀý3ª²3ª²10ÁÙ´²Õï¶ÏÉî¢ò¶È´´Ãæ293Àý£¬£¬£¬£¬£¬£¬£¬Ó벡ÀíÕï¶ÏÒ»ÖÂÕß280Àý£¬£¬£¬£¬£¬£¬£¬ÎóÕïÕß13Àý£¬£¬£¬£¬£¬£¬£¬ÇóÎóÕïÂÊÊǼ¸¶à£¿£¿£¿£¿ £¿
ƾ֤¹«Ê½£º

´ð£ºÉî¢ò¶È´´ÃæÁÙ´²Õï¶ÏÎóÕïÂÊΪ4ª±4%¡£¡£¡£¡£¡£
11ª±Â©ÕïÂÊ
ÌåÏÖÔÚÕï¶ÏÖб¬·¢ÒÅ©µÄƵÂÊ¡£¡£¡£¡£¡£ÅÌË㹫ʽÓëÎóÕïÂʹ«Ê½ÀàËÆ¡£¡£¡£¡£¡£
12ª±Î£ÏÕ¶È£¨degree of risk£©
ÌåÏÖijÒòËØÓëijÕ÷Ï󱬷¢Ö®¼äµÄÁªÏµÇ¿¶È£¬£¬£¬£¬£¬£¬£¬ÆäÕ÷Ïó¿ÉÌåÏÖΪ¼²²¡µÄ±¬·¢¡¢¸´·¢¡¢éæÃüµÈ¡£¡£¡£¡£¡£Ö÷Òª°üÀ¨Ïà¶ÔΣÏÕ¶È¡¢¹éÒþΣÏÕ¶È¡¢ÈËȺ¹éÒòΣÏÕ¶ÈÓë±ê×¼éæÃü±È¡£¡£¡£¡£¡£ÆäÖØµãÄÚÈݽ«ÔÚÏà¶ÔΣÏÕÐÔÕ½ÚÖÐÌÖÂÛ¡£¡£¡£¡£¡£

ÍøÕ¾µØÍ¼