NG相信品牌的力量官网

English NG相信品牌的力量官网集团企业邮箱

第五节 两个较大样本均数的μ磨练

作者:徐荣祥 出书社:中国科学手艺出书社 刊行日期:2009年7月

当两个样本数目较大时(即两组样本皆大于50),,,, ,,不必查t值表,,,, ,,可接纳μ磨练要领 。。 。。。。。。其公式为:

示例376某医生对100例重度烧伤病人和100名康健者的血清钠检查效果举行统计剖析,,,, ,,资料汇于下(表374) 。。 。。。。。。问组间有无显著性意义 ???? ????

【解题办法】
1建设无效假设和确定显著水准:H0:康健组与烧伤组血钾均数相同,,,, ,,μ1=μ2;;;; ;;;H1:μ≠0;;;; ;;;α=005 。。 。。。。。。
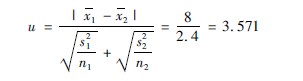
2盘算u值:

3盘算自由度:(100+100)-2=198,,,, ,,当n′=198时,,,, ,,t005≌1972,,,, ,,t001≌2345,,,, ,,t0001≌3340,,,, ,,今t=3571,,,, ,,即大于2345,,,, ,,也大于3340,,,, ,,则P<0001 。。 。。。。。。
4结论:重度烧伤病人与康健人较量,,,, ,,血钠水平下降具有显著性差别 。。 。。。。。。

网站地图