NG相信品牌的力量官网

English NG相信品牌的力量官网集团企业邮箱

第六节 方差不齐时两小样本的均数磨练

作者:徐荣祥 出书社:中国科学手艺出书社 刊行日期:2009年7月

所谓方差不齐 , ,, ,,,是指两组的标准差相差太大 , ,, ,,,若相差凌驾一倍 , ,, ,,,可以一定为方差不齐 , ,, ,,,较准确的盘算要领是F值盘算法 , ,, ,,,如按本要领盘算 , ,, ,,,应明确被磨练两组样本是否属于方差不齐 , ,, ,,,即首先应举行齐性磨练确定其性子 , ,, ,,,然后举行t磨练。。。。。。
一、 两个方差的齐性磨练
前面已经讲过 , ,, ,,,当两个样本均数举行较量时 , ,, ,,,要求响应的两组总体方差相等 , ,, ,,,即方差齐。。。。。。可是 , ,, ,,,纵然两组总体方差相等 , ,, ,,,两组样本方差也会由于抽样误差的影响而不相等。。。。。。磨练两组样本方差不等是否由于抽样误差所致 , ,, ,,,可用方差齐性磨练 , ,, ,,,也就是磨练σ21与σ22是否相等。。。。。。要领用F磨练 , ,, ,,,统计量F值按公式盘算:

式中s21为较大样本的方差 , ,, ,,,s22为较小样的方差 , ,, ,,,响应的自由度划分为n′1和n′2 , ,, ,,,响应的样本含量划分为n1和n2。。。。。。由于恒取s21>s22 , ,, ,,,故F值一定大于1 , ,, ,,,求得F值后查F界值表(方差齐性磨练用表 , ,, ,,,表376) , ,, ,,,得P值(F值愈大 , ,, ,,,P值愈小) , ,, ,,,作出结论。。。。。。
示例377测得10名康健人和50例烧伤病人早期的RBC均值(1)和标准差(S) , ,, ,,,磨练两组数据方差是否为齐性。。。。。。
【解题办法】
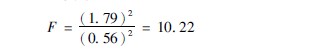
1建设磨练假设 , ,, ,,,确定显著水准:①康健人:n=10 , ,, ,,, x1=621×109/L , ,, ,,,s1=179×109/L; ;; ; ; ; ;②烧伤病人:n=50 , ,, ,,,x1=434×109/L , ,, ,,,s2=056×109/L。。。。。。
H0:两总体方差相等 , ,, ,,,即σ21=σ22; ;; ; ; ; ; H1:两总体方差不等 , ,, ,,,即σ21≠σ22; ;; ; ; ; ;α=005
2盘算磨练统计量:按公式3710盘算 , ,, ,,,得:

3确定P值 , ,, ,,,做出推断结论:以n′1=10-1=9 , ,, ,,,n′2=50-1=49 , ,, ,,,查F界值表(表376)。。。。。。因1022>233(n′2=60) , ,, ,,,P<005 , ,, ,,,按α=005水准拒绝H0 , ,, ,,,接受H1 , ,, ,,,故可以为两总体方差不齐。。。。。。
二、t′磨练
若两个总体的方差不齐时 , ,, ,,,即σ21≠σ22时 , ,, ,,,两小样本均数的较量 , ,, ,,,可选择以下要领:①接纳适当的变量变换 , ,, ,,,使之抵达方差齐的要求; ;; ; ; ; ;②接纳不要求方差齐的要领较量其漫衍 , ,, ,,,如秩和磨练; ;; ; ; ; ;③接纳近似法t′磨练 , ,, ,,,由于t′不平从t漫衍 , ,, ,,,故需要按公式(3710)求界值t(系近似值)。。。。。。公式划分为:

当确定磨练水准α后 , ,, ,,,公式3712中的tα·n′1和tαn′2即可按n′1和n′2由表375查得 , ,, ,,,s2x1、s2x2划分为两均数的标准误的平方和。。。。。。
仍以示例376为例:由于已知两者方差不齐 , ,, ,,,试较量两者均数有无差别。。。。。。
H0:μ1=μ2; ;; ; ; ; ;H1:μ1≠μ2; ;; ; ; ; ;α=005。。。。。。

n′1=10-1=9 , ,, ,,,n′2=50-1=49。。。。。。查t界值表(表371) , ,, ,,,得t0059=2262 , ,, ,,,t00549=2009。。。。。。

今t′>t′005 , ,, ,,,则P<005 , ,, ,,,按α=005水准拒绝H0 , ,, ,,,接受Hl , ,, ,,,故可以为两组的均数不等 , ,, ,,,烧伤病人RBC的均数大于康健者。。。。。。

 

网站地图